Ответы
Ответ дал:
2
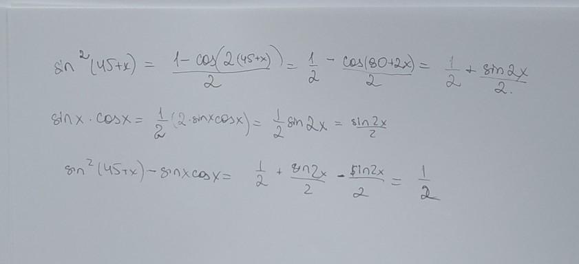
1/2
....................
Приложения:

Ответ дал:
2
Решение задания прилагаю
Приложения:

Вас заинтересует
2 года назад
2 года назад
3 года назад
3 года назад
8 лет назад
8 лет назад
9 лет назад