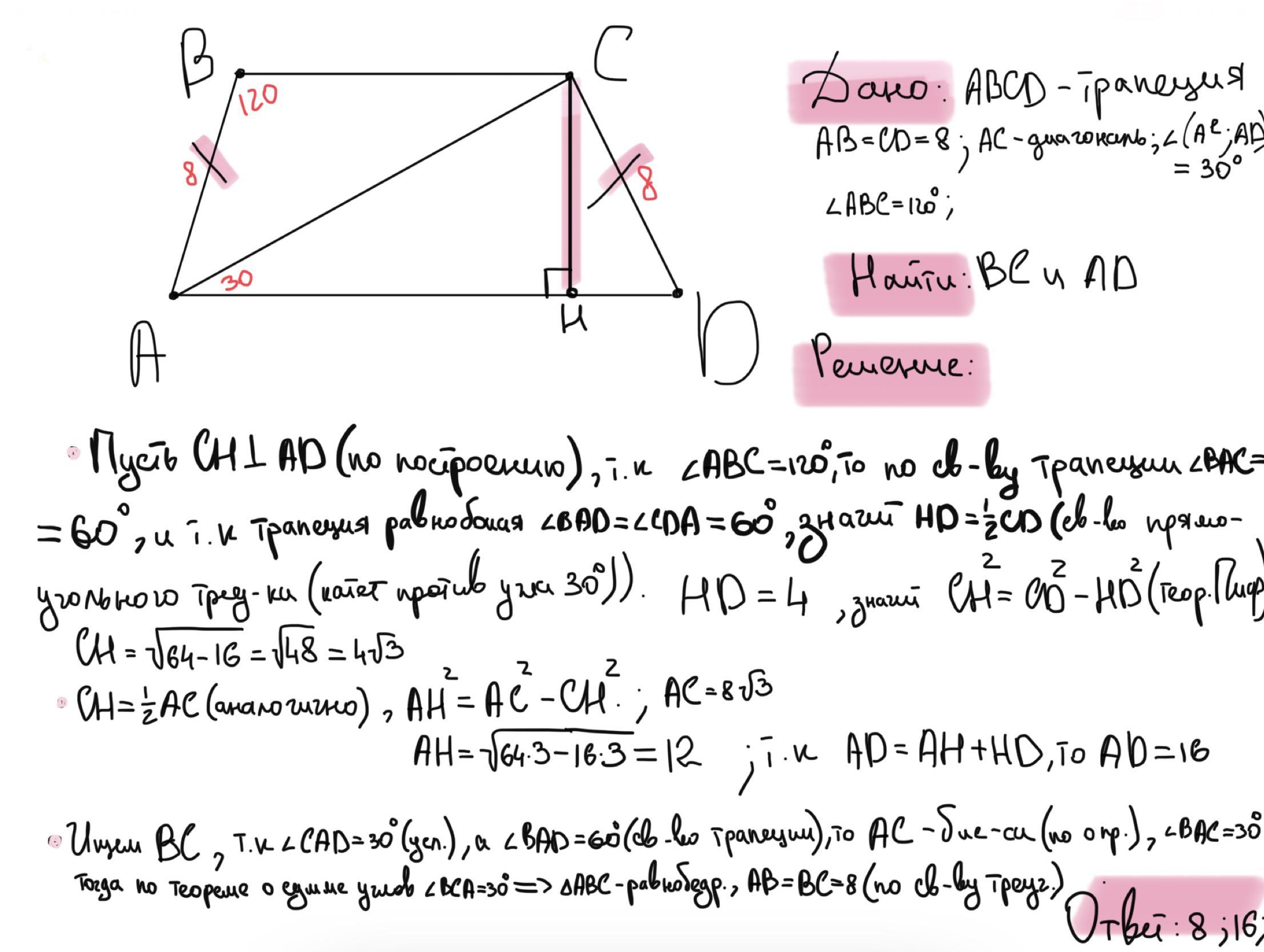
у рівнобічній трапеції один із кутів дорівнює 120 градусів. Діагональ трапеції утворює з основою кут 30 градусів. Знайти основи трапеції якщо довжина бічної сторони дорівнює 8см
Ответы
Ответ дал:
1
Ответ:
8 и 16
Объяснение:
Приложения:

Ответ дал:
3
8см, 16см
Розв'язання завдання додаю
Приложения:

Вас заинтересует
2 года назад
2 года назад
3 года назад
3 года назад
8 лет назад
9 лет назад