• Предмет: Математика
  • Автор: Alika055
  • Вопрос задан 8 лет назад

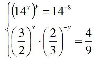
Решите систему уравнений, в ответе напишите результат суммы x+y

Приложения:

Ответы

Ответ дал: BMW52
0

Второе уравнение

(3/2) ^х *(3/2) ^у=(3/2) ^(-2)

(3/2) ^( х+ у) =(3/2) ^(-2)

Х+ у=-2 => Х=-2- у

Подставим в первое уравнение

14^(ху) =14^(-8)

ху=-8

-(2+ у) у=-8

У^2+2у-8=0 => по т. Виета У=2 , у=-4

Тогда

Х1= -2-2= -4 , х2=-2+4=2

(-4;2), (2;-4).

Сумма Х+у=-2.

Вас заинтересует