2. Скласти числовий вираз та знайти його значення:
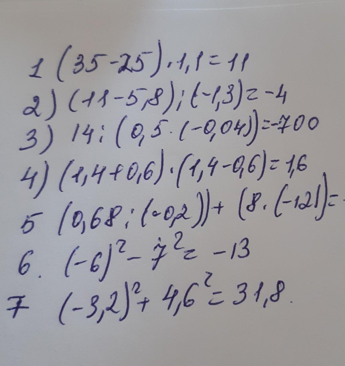
1) добуток різниці чисел 35 i-25 та числа 1,1
2) частка різниці чисел 11 і 5,8 та числа -1,3
3) частка числа 14 і добутку чисел 0,5 та -0,04
4) добуток різниці та суми чисел 1,4 і 0,6
5) сума частки чисел 0,68 i -0,2 та добутку чисел 8i-12
6) різниця квадратів чисел -6i7
7) квадрат суми чисел-3,2 і 4,6
Ответы
Ответ дал:
2
Пошаговое объяснение:
5)-99,4,если не видно
Надеюсь, правильно поняла украинский язык
Приложения:

lizamaystrenko34:
это идеально!!!!!!
Вас заинтересует
2 года назад
3 года назад
3 года назад
8 лет назад
8 лет назад
9 лет назад