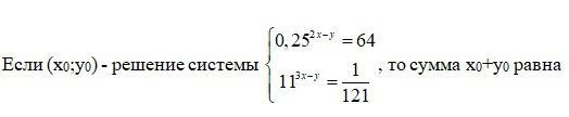
• Предмет: Математика
  • Автор: sagitovasabina
  • Вопрос задан 8 лет назад

Выберите один ответ:
a. 4
b. 6
c. -4
d. -6
e. 3


Приложения:

Ответы

Ответ дал: guzalya7819
1

Ответ:

6

Пошаговое объяснение:

\left \{ {{2^{2y-4x} =2^{6} } \atop {11x^{3x-y} =11^{-2} }} \right. \left \{ {{2y-4x =6 } \atop 3x-y =(-2)  \right.  \left \{ {{y= 2x +3 } \atop 3x-(2x+3) =(-2)  \right. \left \{ {{y= 2x +3 } \atop x=1  \right. \left \{ {{x=1} \atop y=5  \right.

x+y= 1 +5= 6


sagitovasabina: Спасибо , можете ещё ответить , посмотрите пожалуйста ещё под моим ником. очень прошу !)
guzalya7819: ты про уравнение или график?
Вас заинтересует