• Предмет: Математика
  • Автор: Gaasasa
  • Вопрос задан 8 лет назад

Помогите пожалуйста!
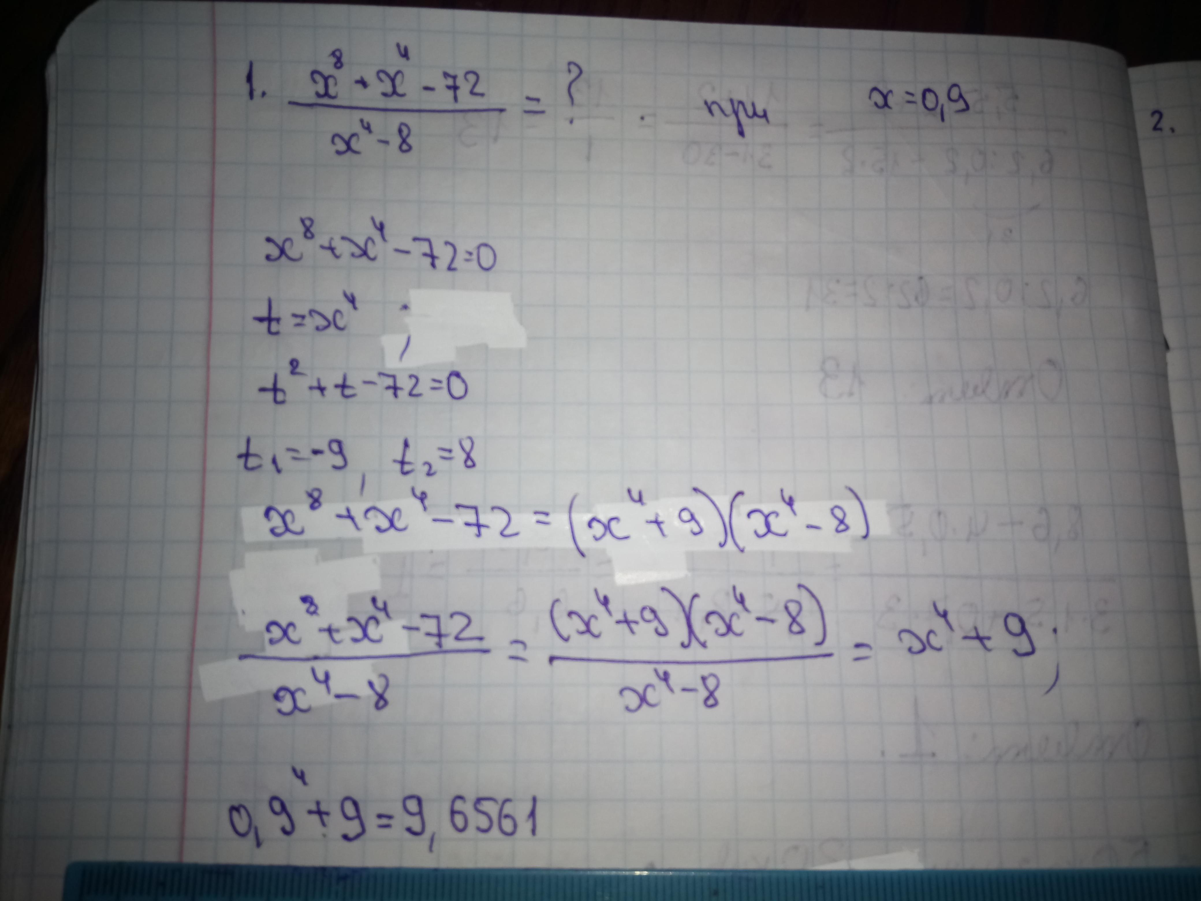
1. x^8+x^4-72/x^4-8 при х=0,9
2. 0,6^1/7*27^2/7*25^4/7

Ответы

Ответ дал: Аноним
2

Решение задания прилагаю

Приложения:
Ответ дал: ZlataSergeeva2000
2

Решение:

1.

\dfrac{x^8 + x^4 - 72}{x^4 - 8 } =\dfrac{(x^4 - 8)(x^4 + 9)}{x^4 - 8}  =x^4 + 9

при х = 0,9

х⁴ + 9 = 0,9⁴ + 9 = 9,6561

2.

0.6^{\dfrac{1}{7} }\cdot 27^{\dfrac{2}{7} }+25^{\dfrac{4}{7} }= \sqrt[7]{0.6\cdot 27^2\cdot 25^4} = \sqrt[7]{170~859~375}  = 15

Вас заинтересует