Помогите решить уравнение, спасибо
Приложения:

LFP:
сведется к уравнению третьей степени)) первый корень подбирается устно: х=2)) оставшееся квадратное уравнение не имеет корней (ВБ0)
Ответы
Ответ дал:
1
Ответ:
Пошаговое объяснение:
Введём замену:
Перепишем уравнение с учётом замены:
Сумма первого и второго слагаемых равна 72, поэтому в выборе делителей числа 72 ограничимся следующими числами:
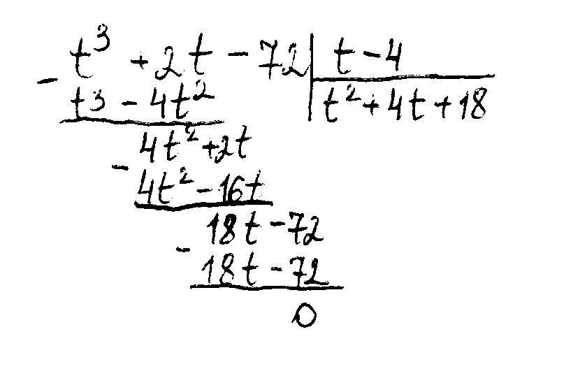
Разделив многочлен на t – 4, получим:
Найдём корни второго множителя.
Действительных корней нет.
Вернёмся к замене:
Приложения:

Вот если не трудно, еще одно, но система уже
Вас заинтересует
2 года назад
2 года назад
3 года назад
3 года назад
9 лет назад
9 лет назад