• Предмет: Алгебра
  • Автор: thespartaplay294
  • Вопрос задан 8 лет назад

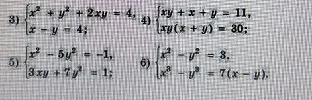
. Решите систему уравнений: решить с решением 4 5 и 6 задачу ​

Приложения:

luckyescape: мало баллов для такой работы.

Ответы

Ответ дал: cuggi
0

Ответ:

Объяснение:Seychas budet i drugie

Приложения:
Вас заинтересует