• Предмет: Математика
  • Автор: zhilkova21
  • Вопрос задан 8 лет назад

Решить данные задания

Приложения:

Ответы

Ответ дал: Ilyazov45
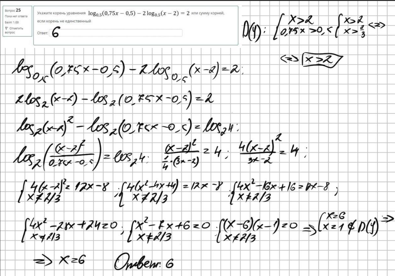
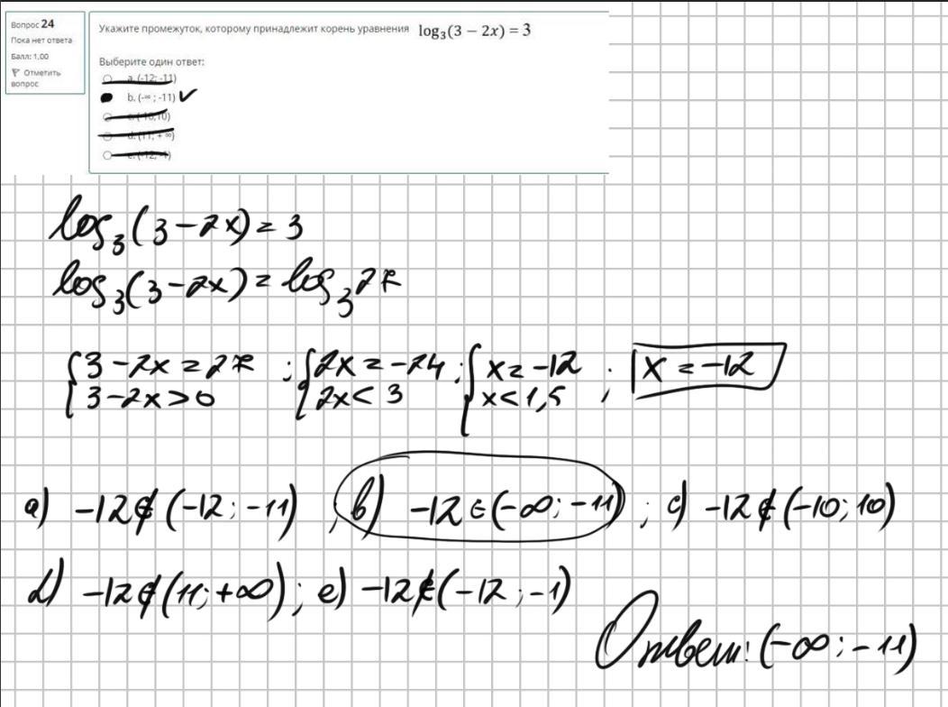
1

Ответ:

1) d

2) b

3) 6

Пошаговое объяснение:

На фото

Приложения:
Вас заинтересует