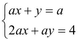
найти наименьшее значение параметра, при котором система уравнений имеет одно решение.
Приложения:

Ответы
Ответ дал:
0
Ответ:
-2
Пошаговое объяснение:
-2 11292991919292992929222
Вас заинтересует
2 года назад
2 года назад
3 года назад
3 года назад
8 лет назад
8 лет назад
9 лет назад
9 лет назад