Ответы
Ответ дал:
1
Ответ:
Объяснение:
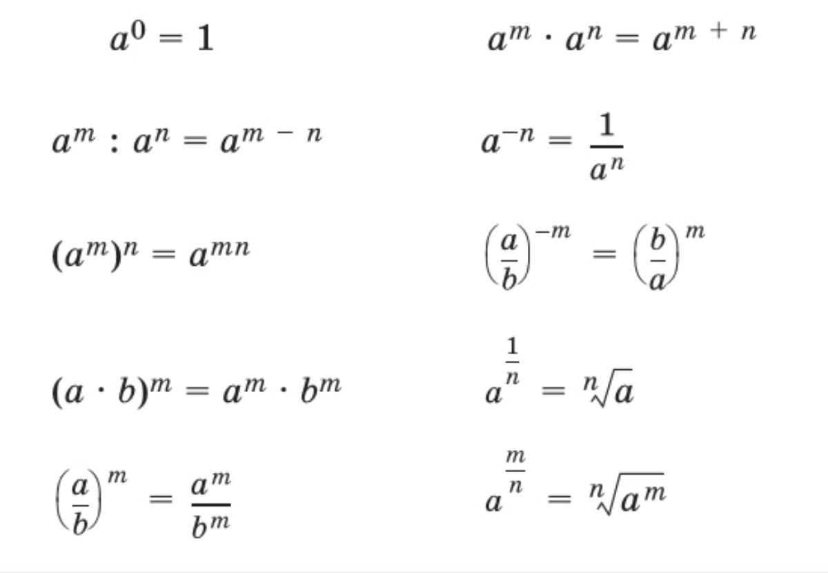
Смотрите формулы!
Приложения:

Ответ дал:
0
Прикрепил... может быть полезно
Приложения:

Вас заинтересует
2 года назад
3 года назад
3 года назад
8 лет назад
8 лет назад
9 лет назад