Нужна срочная помощь в алгебре!
Можно ответ по короче, но и с объяснением если можно!
РЕШЕНИЯ НЕ ФОТОГРАФИИ НЕ ПРИНИМАЮ!
Приложения:

Ответы
Ответ дал:
2
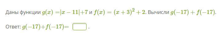
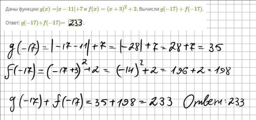
Ответ:
233
Объяснение:
--------------------
Приложения:

Аноним:
Спасибо!
Вас заинтересует
2 года назад
2 года назад
3 года назад
3 года назад
8 лет назад
8 лет назад
9 лет назад