• Предмет: Математика
  • Автор: kill12320
  • Вопрос задан 8 лет назад

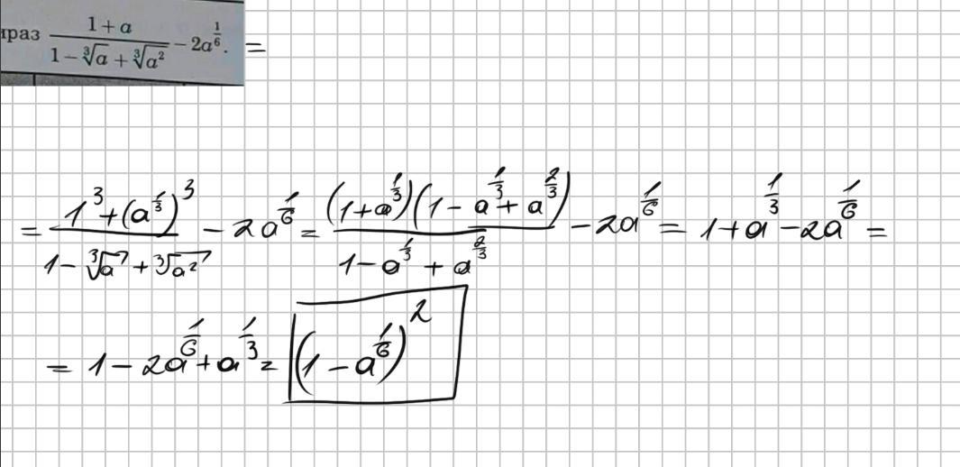
(1 + a)/(1 - \sqrt[3]{a} +  \sqrt[3]{ {a}^{2} } )-2× \sqrt[6]{a}

Приложения:

mathgenius: Ка я понял единичка под a не спроста: ( 1- a^(1/3) + a^(2/3) ) - это в знаменателе?
mathgenius: *как
mathgenius: И (1+a) cкорее всего полностью в числителе
mathgenius: Лучше скиньте фотографию
mathgenius: Если все как я и сказал, то выйдет (a^(1/6) - 1)^2
mathgenius: Вот теперь норм

Ответы

Ответ дал: Аноним
1

\dfrac{1+a}{1-\sqrt[3]{a}+\sqrt[3]{a^2}}-2a^{1/6}=\dfrac{(1+a)(1+\sqrt[3]{a})}{(1+\sqrt[3]{a})(1-\sqrt[3]{a}+\sqrt[3]{a^2})}-2\sqrt[6]{a}=

\dfrac{(1+a)(1+\sqrt[3]{a})}{1^3+(\sqrt[3]{a})^3}-2\sqrt[6]{a}=\dfrac{(1+a)(1+\sqrt[3]{a})}{1+a}-2\sqrt[6]{a}=

1+\sqrt[3]{a}-2\sqrt[6]{a}=(\sqrt[6]{a})^2-2\sqrt[6]{a}+1=(\sqrt[6]{a}-1)^2

Ответ дал: Ilyazov45
0

-----------------------------

Приложения:
Вас заинтересует