• Предмет: Математика
  • Автор: fudhcudhdu
  • Вопрос задан 8 лет назад

ПОМОГИТЕ ПЖ!!!даю 35 баллов!!!

Приложения:

Ответы

Ответ дал: MatemaT123
0

Ответ:

-\sqrt{2} \ ; \ 2\sqrt{2} \ ;

\sqrt{2} \ ; \ 3\sqrt{2} \ ;

Пошаговое объяснение:

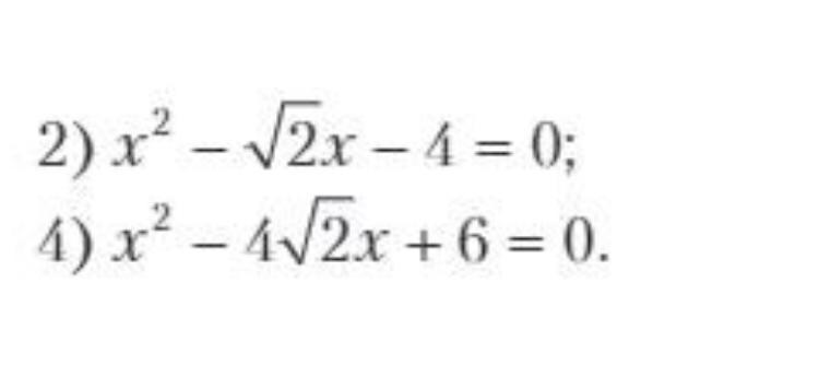
x^{2}-x\sqrt{2}-4=0;

D=b^{2}-4ac \Rightarrow D=(-\sqrt{2})^{2}-4 \cdot 1 \cdot (-4)=2+16=18;

x_{1}=\dfrac{-b+\sqrt{D}}{2a} \Rightarrow x_{1}=\dfrac{-(-\sqrt{2})+\sqrt{18}}{2 \cdot 1}=\dfrac{\sqrt{2}+3\sqrt{2}}{2}=\dfrac{4\sqrt{2}}{2}=2\sqrt{2} \ ;

x_{2}=\dfrac{-b-\sqrt{D}}{2a} \Rightarrow x_{2}=\dfrac{-(-\sqrt{2})-\sqrt{18}}{2 \cdot 1}=\dfrac{\sqrt{2}-3\sqrt{2}}{2}=\dfrac{-2\sqrt{2}}{2}=-\sqrt{2} \ ;

_______________________________________________________

x^{2}-4x\sqrt{2}+6=0;

Решим уравнение при помощи теоремы Виета:

\displaystyle \left \{ {{x_{1}+x_{2}=-(-4\sqrt{2})} \atop {x_{1} \cdot x_{2}=6}} \right. \Leftrightarrow \left \{ {{x_{1}+x_{2}=4\sqrt{2}} \atop {x_{1} \cdot x_{2}=6}} \right. \Leftrightarrow \left \{ {{x_{1}=\sqrt{2}} \atop {x_{2}=3\sqrt{2}}} \right.  \ ;

Ответ дал: Universalka
1

2) \ x^{2}-\sqrt{2}x-4=0\\\\D=(-\sqrt{2})^{2}-4\cdot(-4)=2+16=18=(3\sqrt{2})^{2}\\\\x_{1}=\dfrac{\sqrt{2} -3\sqrt{2} }{2}=\dfrac{-2\sqrt{2} }{2}=\boxed{-\sqrt{2} }\\\\x_{2}=\dfrac{\sqrt{2} +3\sqrt{2} }{2}=\dfrac{4\sqrt{2} }{2}=\boxed{2\sqrt{2} }\\\\\\4) \ x^{2} -4\sqrt{2} x+6=0\\\\D=(-4\sqrt{2} )^{2} -4\cdot6=32-24=8=(2\sqrt{2})^{2}\\\\x_{1}=\dfrac{4\sqrt{2}-2\sqrt{2} }{2} =\dfrac{2\sqrt{2} }{2}=\boxed{\sqrt{2}}

x_{2}=\dfrac{4\sqrt{2}+2\sqrt{2} }{2} =\dfrac{6\sqrt{2} }{2}=\boxed{3\sqrt{2}}

Вас заинтересует