• Предмет: Математика
  • Автор: cat1zca
  • Вопрос задан 8 лет назад

Помогите пожалуйста решить тригонометрические уравнения.

Приложения:

Ответы

Ответ дал: d3782741
1

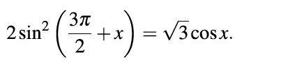
2\sin^2\bigg(\dfrac{3\pi}{2}+x\bigg)=\sqrt{3}\cos x\\[10pt]2\cos^2 x=\sqrt{3}\cos x\\[10pt]\cos x\left(2\cos x-\sqrt{3}\right)=0\\[10pt]\left[\begin{array}{@{}l@{}}\cos x=0\\[5pt] \cos x=\dfrac{\sqrt{3}}{2}\end{array}\right.\iff\left[\begin{array}{@{}l@{}}x=\dfrac{\pi}{2}+\pi m,\, m\in\mathbb{Z}\\[10pt] x=\pm\dfrac{\pi}{6}+2\pi k,\, k\in\mathbb{Z}\end{array}\right.

Ответ. x\in\left\{\dfrac{\pi}{2}+\pi m\,\bigg|\,m\in\mathbb{Z}\right\}\bigcup\left\{\pm\dfrac{\pi}{6}+2\pi k\,\bigg|\, k\in\mathbb{Z}\right\}

Ответ дал: NNNLLL54
1

Ответ:

2sin^2\Big(\dfrac{3\pi }{2}+x\Big)=\sqrt3\, cosx\\\\2\, cos^2x=\sqrt3\, cosx\\\\cosx\cdot (2cosx-\sqrt3)=0\\\\a)\ \ cosx=0\ \ ,\ \ \ x=\dfrac{\pi}{2}+\pi n\ ,\ n\in Z\\\\b)\ \ cosx=\dfrac{\sqrt3}{2}\ \ ,\ \ \ x=\pm \dfrac{\pi}{6}+2\pi k\ ,\ k\in Z\\\\\\Otvet:\ \ x_1=\dfrac{\pi}{2}+\pi n\ ,\  x_2=\pm \dfrac{\pi}{6}+2\pi k\ ,\ \ \ n,k\in Z\ .

\star \ \ sin\Big(\dfrac{3\pi }{2}+x\Big)=-cosx\ \ ,\ \ \ (-cosx)^2=cos^2x\ \ \star

Вас заинтересует