• Предмет: Алгебра
  • Автор: V1gay
  • Вопрос задан 8 лет назад

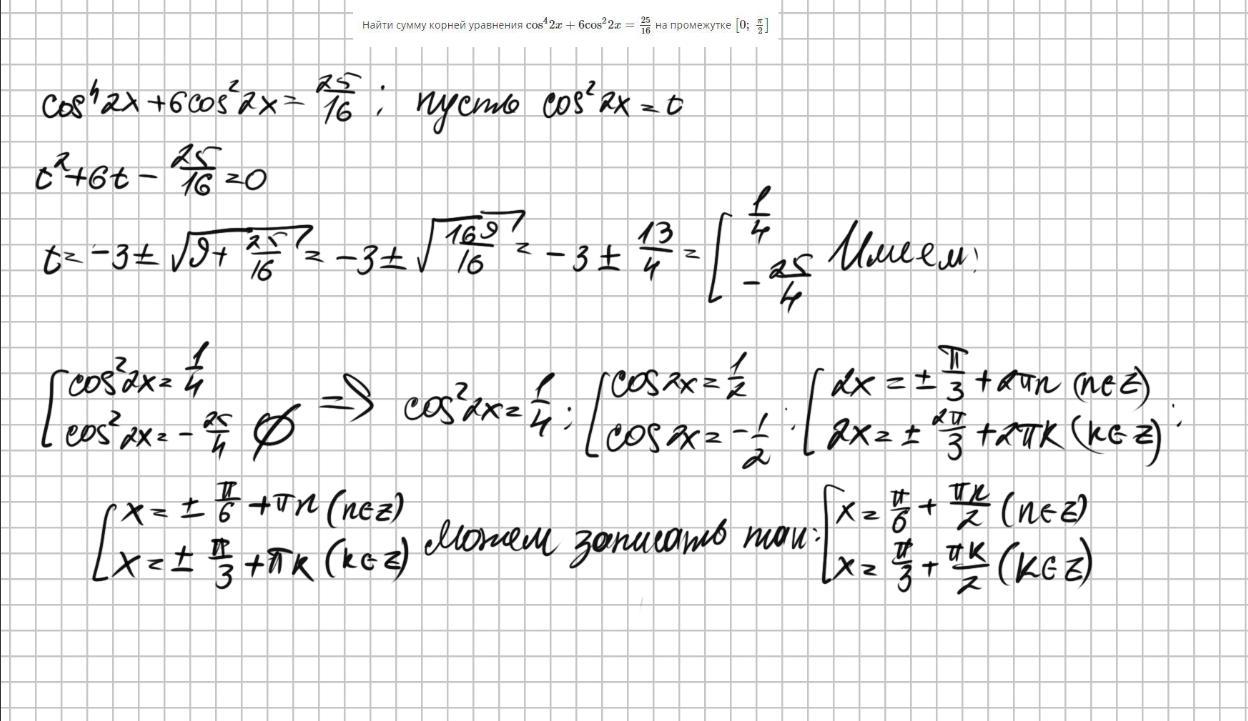
Найти сумму корней тригонометрического уравнения на промежутке

Приложения:

Ответы

Ответ дал: Ilyazov45
0

Ответ:

e.

Объяснение:

--------------------------

Приложения:
Вас заинтересует