Ответы
Ответ дал:
0
Ответ:
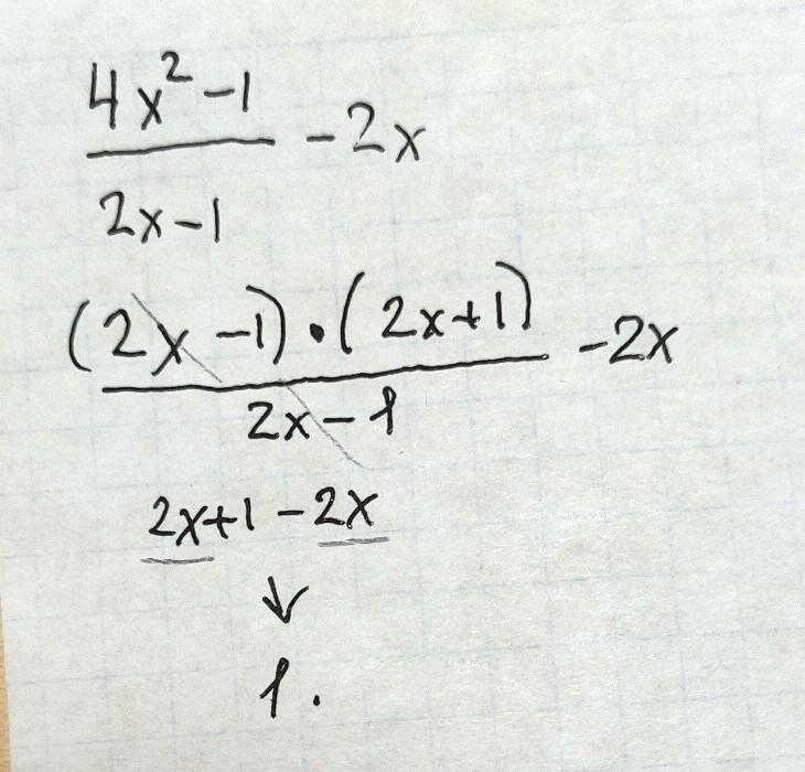
1
Объяснение:
нам нужно разложить 4 х² - 1 на множители
Отсюда: (2х-1)•(2х+1)
_________
2 х - 1
затем мы "убираем" одинаковые выражения(2 х-1 в знаменателе и 2 х-1 в числителе)
остаётся: 2х + 1 - 2х
затем
2х-2х=0, а значит
0+1=1
ответ: 1
Приложения:

Ответ дал:
0
Ответ:
Объяснение:
По формуле:
Вас заинтересует
2 года назад
3 года назад
3 года назад
8 лет назад
8 лет назад
9 лет назад