Ответы
Ответ дал:
1
Ответ:
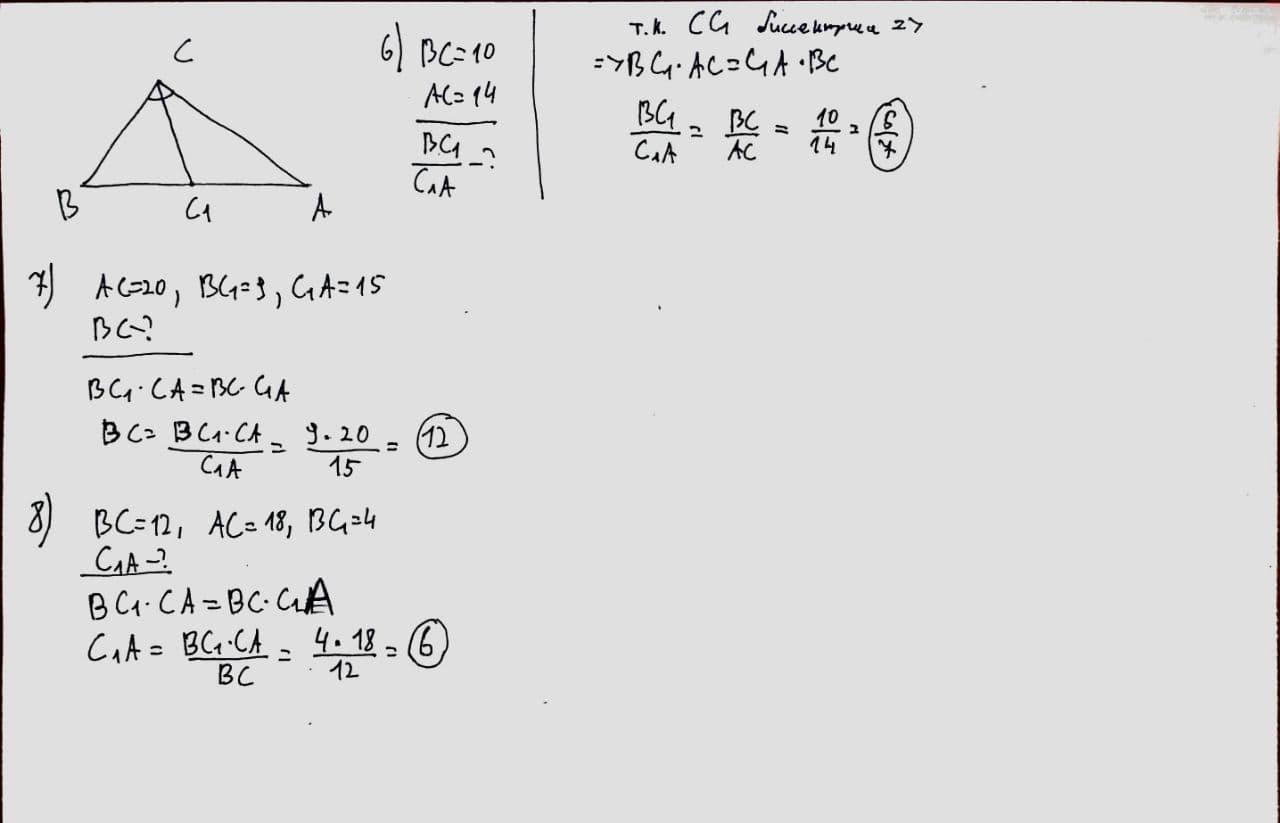
6) - 5/7
7) - 12
8) 6
Объяснение:
Биссектриса угла треугольника делит противоположную сторону в отношении, равном отношению двух прилежащих сторон.
Все задачи решились при помощи этого свойства.
Приложения:

Вас заинтересует
2 года назад
2 года назад
3 года назад
3 года назад
8 лет назад
8 лет назад
9 лет назад