Помогите решить, пожалуйста.
Что я делаю не так? 38 на 7 ведь не делится.
Приложения:

NNNLLL54:
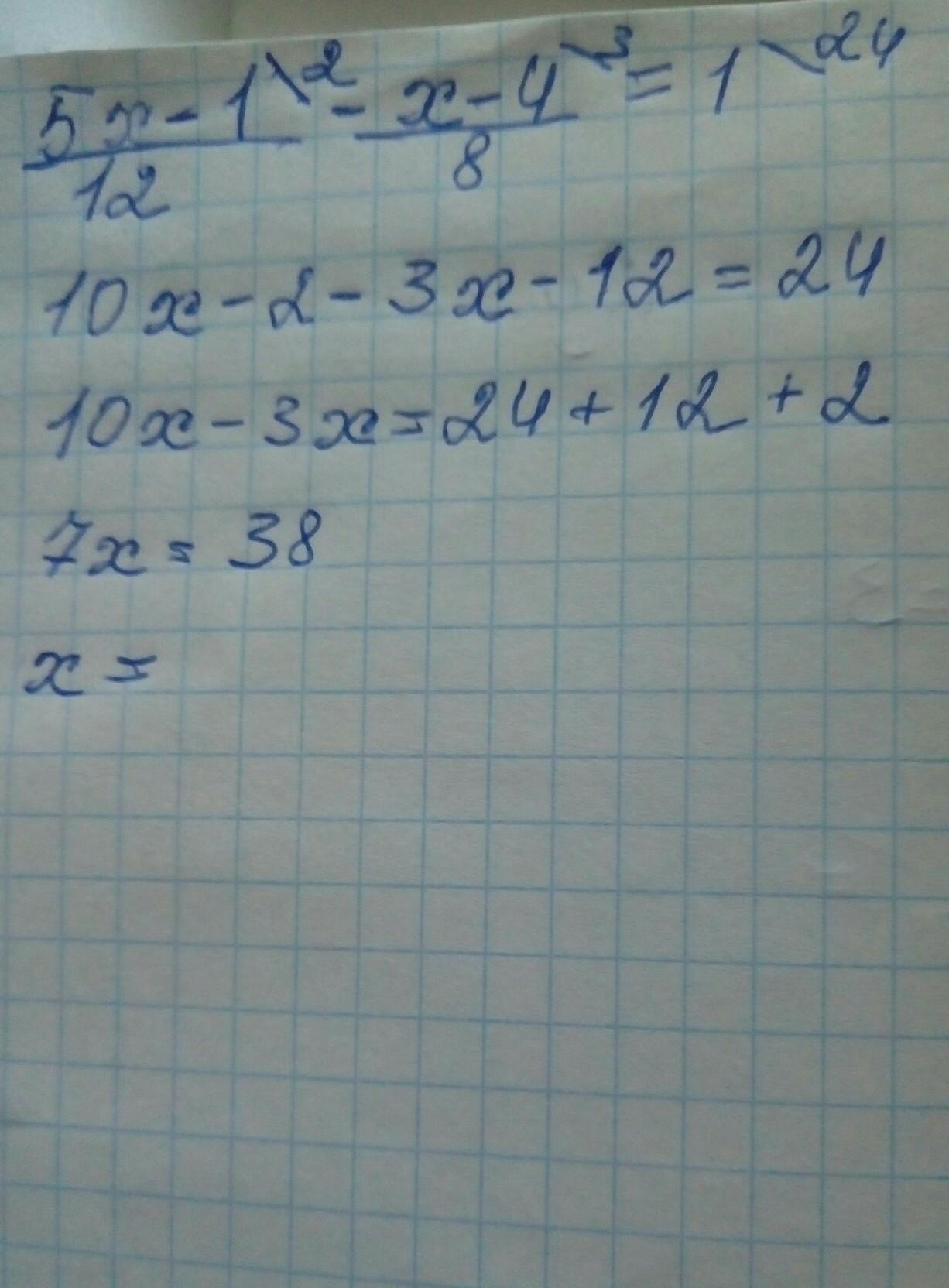
перед второй дробью стоит минус , значит, когда умножаешь числитель (х-4) на 3, то должен написать -3(х-4) ... при раскрытии скобок получаешь (-3х+12) , а ты написал (-3х-12) .
Ответы
Ответ дал:
1
Ответ:
х = 2
Объяснение:
7х+10=24
7х=14
х=2
Ответ дал:
4
Ответ:
У вас была ошибка при открывание скобок.
Во второй части, где вышло 2(5х-1)-3(х-4)=24
-3*(-4)=12, а у вас вышло -12,поэтому все пошло неправильно
Объяснение:
Вас заинтересует
2 года назад
2 года назад
3 года назад
3 года назад
8 лет назад
8 лет назад
9 лет назад
9 лет назад