• Предмет: Математика
  • Автор: abdullahiusupov1
  • Вопрос задан 8 лет назад

сократи дроб 36×77×65/
42×117×11​

Ответы

Ответ дал: Applegate
5

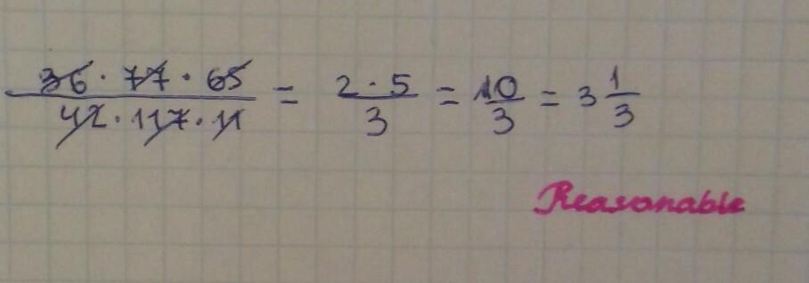
Решение и ответ на фотографии

Приложения:

abdullahiusupov1: спасибо
Applegate: пожалуйста))
Ответ дал: ildar502020
0

Ответ:  3 1/3.

Пошаговое объяснение:

сократи дробь

36×77×65/42×117×11​ => 77 делим на 11; =>

36*7*65/42*117 =>  36*7=6*6*7=6*42; сокращаем на 42.=>

6*65/117 => 65=5*13;  117=9*13; сокращаем на 13 =>

6*5/9=30/9 => сокращаем на 3 => 10/3=3 1/3.

3 1/3 - несократимая дробь.

Вас заинтересует