• Предмет: Алгебра
  • Автор: GoldyTop
  • Вопрос задан 8 лет назад

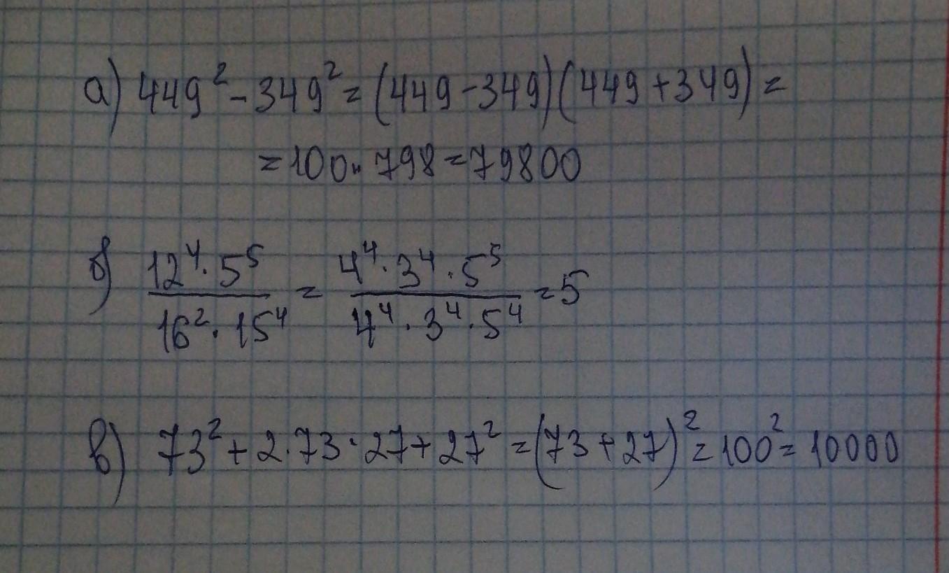
Найдите значение выражения наиболее рациональные способом a) 449^2-349^2 б) на фотке в) 73^2+2×3×27×27^2​

Приложения:

Ответы

Ответ дал: bahytgulkabylainova
1

Объяснение:

см фото,,,,,,,,,,,,,,,,,,,,,

Приложения:
Ответ дал: ludmilaksenija2005
1

Объяснение:

Решение на фото

_______________

Приложения:
Вас заинтересует