• Предмет: Математика
  • Автор: Аноним
  • Вопрос задан 8 лет назад

СРОЧНО!!!ДАЮ 35 БАЛЛОВ!!!ТЕМА ДИСКРИМИНАНТ!!!!

Приложения:

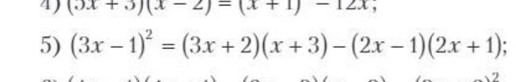
Ответы

Ответ дал: BlackGangster
0

Ответ:

(3x-1)^2 = 3x^2+9x+2x+6-4x^2+1

9x^2-6x+1= -x^2+11x+7

10x^2-17x-6=0

x^2 -17x/10 - 3/5 = 0

По теореме Виета

Сумма корней 17/10

Произведение корней -3/5

x = -3/10

x = 2

Пошаговое объяснение:


tamarabernukho: Тема дискриминант, => пользователь хотел получить ответ, используя дискриминант, а не теорему Виета...
Ответ дал: prettypushkova
1

(a - b)² = a² - 2ab + b² - квадрат разности (формула)

a² - b² = (a + b)(a - b)- разность квадратов (формула)

- - - - - - - - - - - - - - - - - - - - - - - - - - - - - - - - - - - - - - - - - -

5) = (3х)² - 2 · 3х · 1 + (-1)² = 3х · х + 2 · х + 3х · 3 + 2 · 3 - ((2х)² - 1²) =

= 9х² - 6х + 1 = 3х² + 2х  + 9х + 6 - 4х² + 1 =

= 9х² - 6х + 1 = -х² + 11х + 7 =

= 9х² + х² - 6х - 11х + 1 - 7 = 0

= 10х² - 17х - 6 = 0

D = b² - 4ac = (-17)² - 4 · 10 · (-6) = 289 + 240 = 529

√D = √529 = 23

х = (-b±√D)/(2а)

х₁ = (17-23)/(2·10) = (-6)/20 = (-3)/10 = -0,3

х₂ = (17+23)/(2·10) = 40/20 = 2

Ответ: (-0,3; 2).

Вас заинтересует