Ответы
Ответ дал:
0
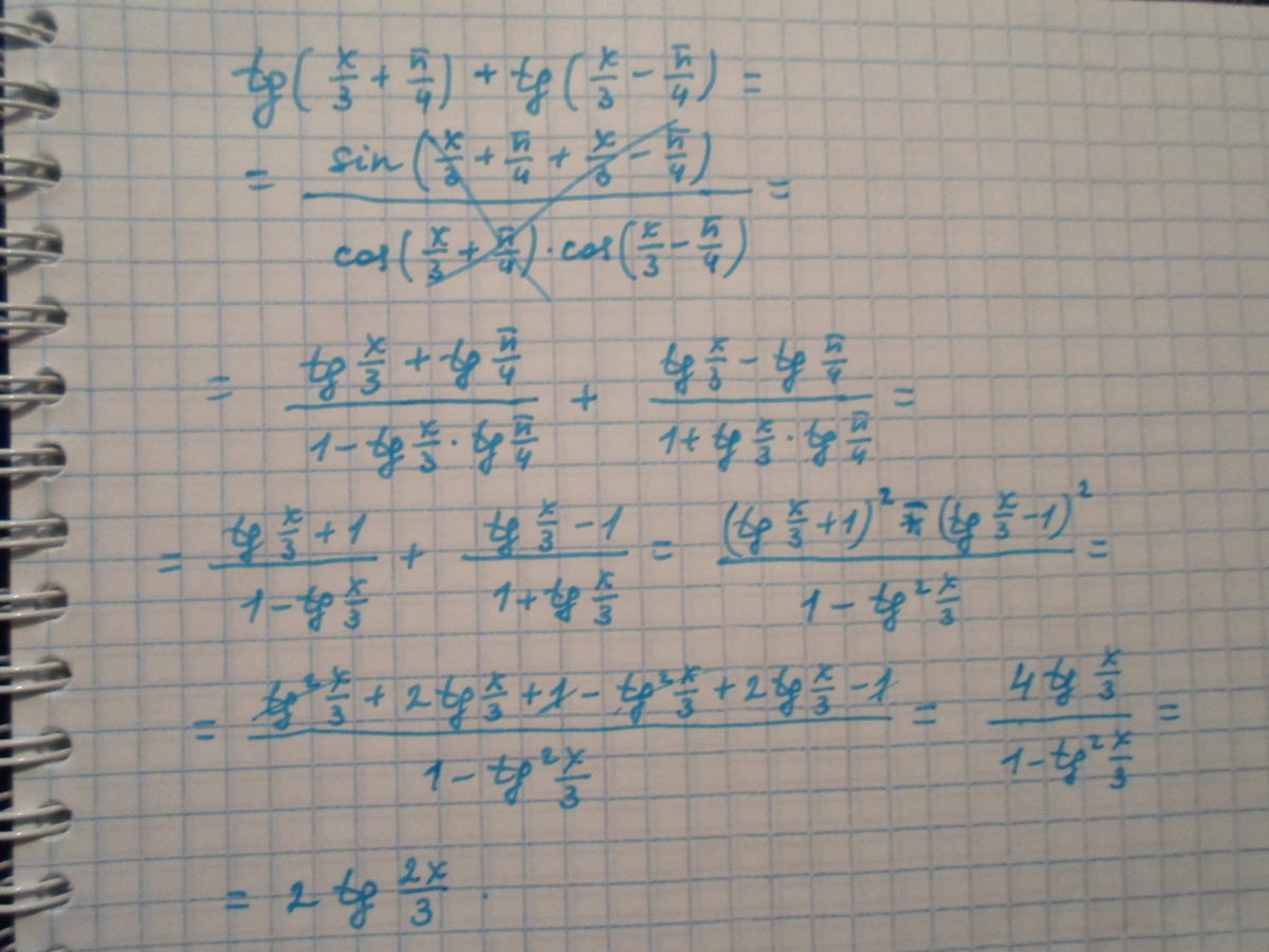
ответ смотри во вложении
Приложения:

Ответ дал:
0
100%
Вас заинтересует
2 года назад
2 года назад
8 лет назад
8 лет назад
10 лет назад
10 лет назад
10 лет назад