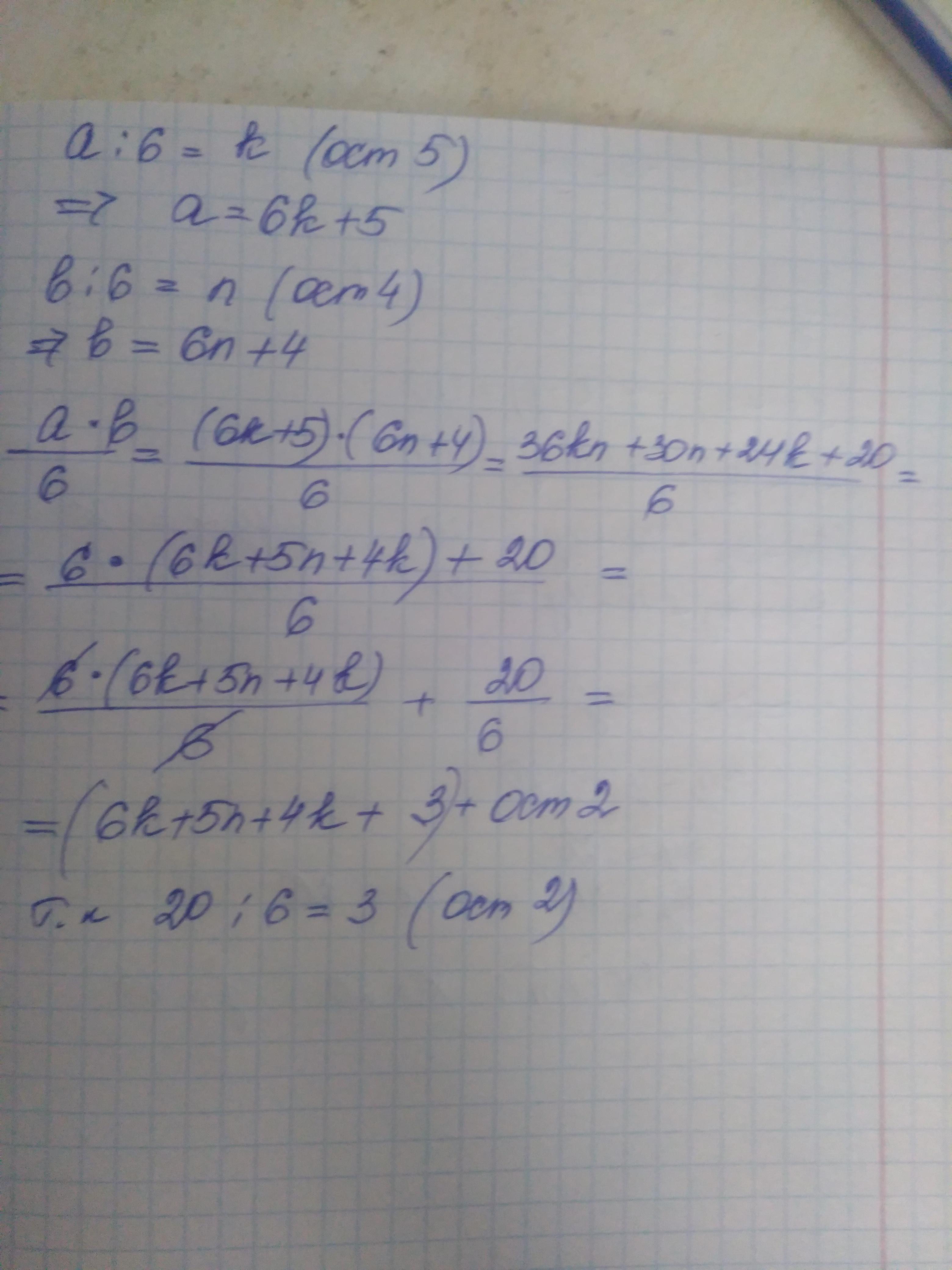
5. Остача при діленні натурального числа а на 6 дорівнює 5, а остача при діленні натурального числа b на 6 дорівнює 4. Доведіть, що остача при діленні добутку чисел а і б на 6 дорівнює 2.
Ответы
Ответ дал:
1
Ответ:
Пошаговое объяснение:
Приложения:

Ответ дал:
0
Відповідь: фото
Покрокове пояснення:
Приложения:

Вас заинтересует
2 года назад
2 года назад
3 года назад
3 года назад
8 лет назад
8 лет назад
9 лет назад