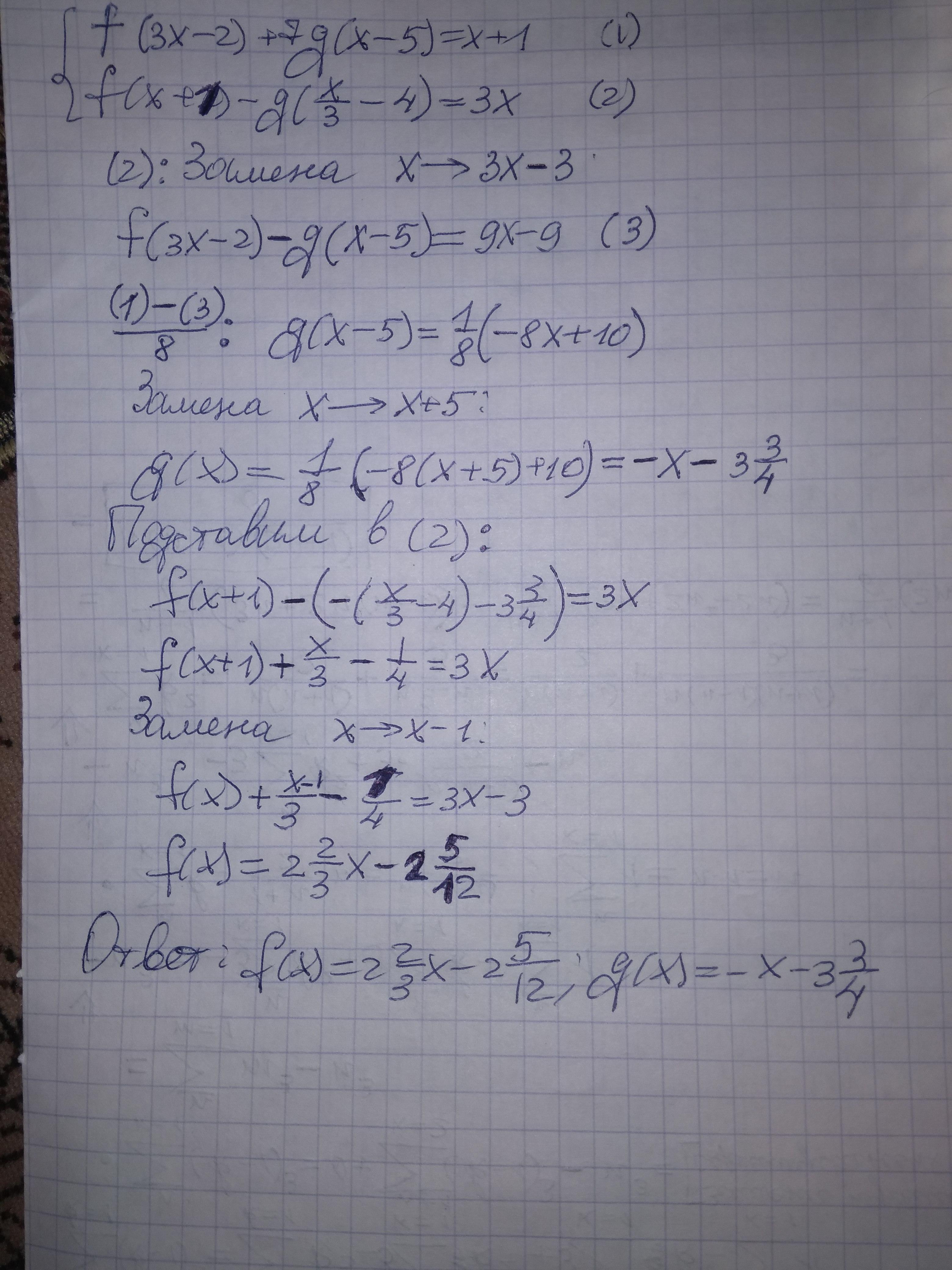
Решить систему:
f(3x-2)+7g(x-5)=x+1
f(x+2)-g(x/3-4)=3x
igorShap:
Вполне мог ошибиться в расчетах, но вышло, что решений нет. Вообще, довольно подозрительно выглядит, из системы можно получить рекуррентные соотношения, и для каждой из функций корень характеристического уравнения будет отрицательным - то есть если решение и существует, оно будет зависеть от (-1/7)^x. В действительной области возведение отрицательного числа в дробную степень не определено. Проверьте, пожалуйста, условие
Ответы
Ответ дал:
2
Объяснение:
Условие скорректировано в соответствии с комментариями.
Решение дано в приложении к ответу
Приложения:

Вас заинтересует
2 года назад
2 года назад
3 года назад
8 лет назад
9 лет назад