Ответы
Ответ дал:
1
Ответ:
1) x=5
2) x=8
3) x= - 6 целых 5 десятых (вроде)
Приложения:

Ответ дал:
1
Ответ:
Пошаговое объяснение:
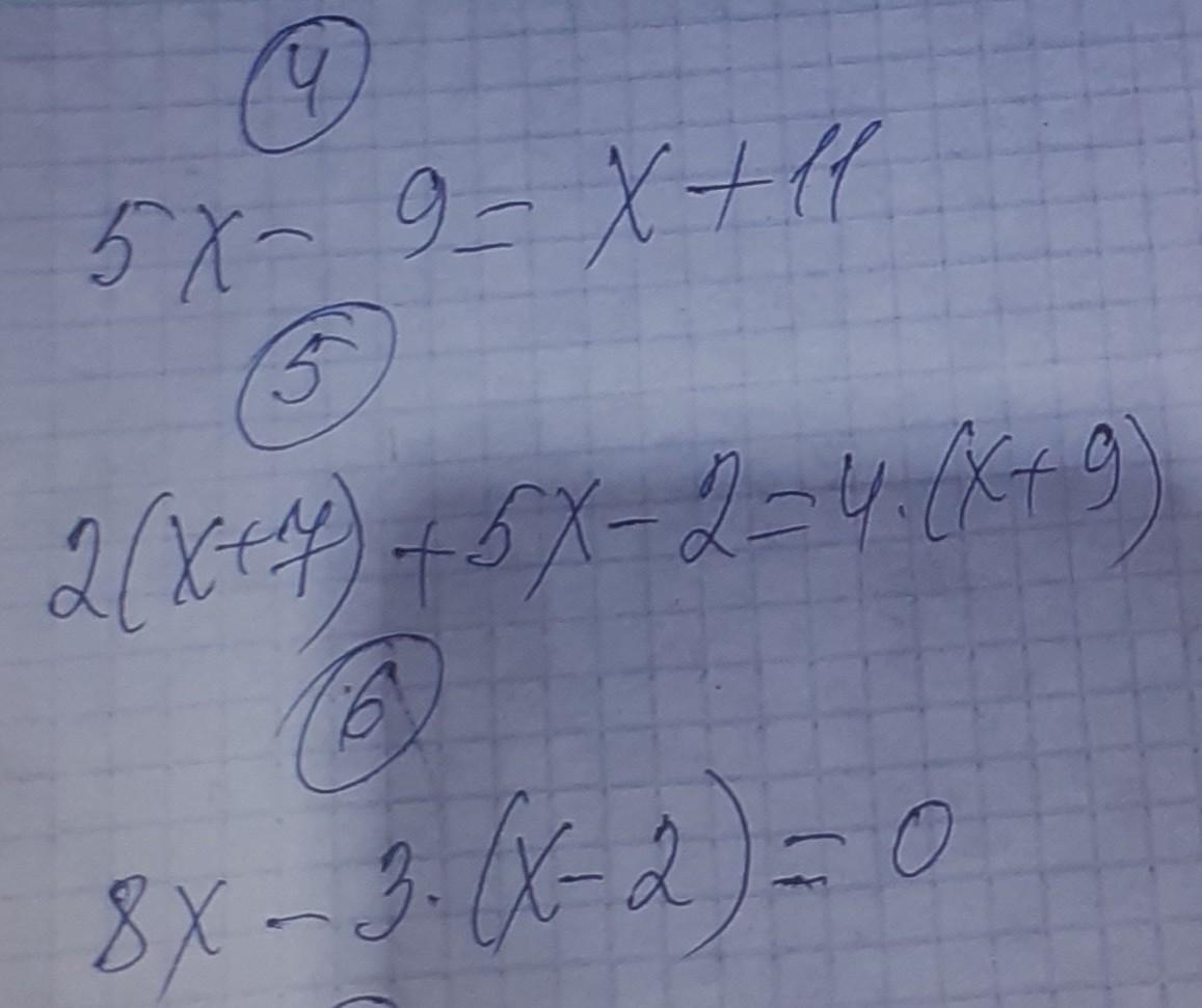
Номер 4
5х - 9 = х + 11
5х - х = 11 + 9
4х = 20
х = 20 : 4
х = 5
Номер 5
2х + 14 + 5х - 2 = 4х + 36
2х + 5х - 4х = 36 - 14 + 2
3х = 24
х = 24 : 3
х = 8
Номер 6
8х - 3х + 6 = 0
8х - 3х = 0 - 6
5х = -6
х = -6 : 5
х = -1,2
Вас заинтересует
2 года назад
2 года назад
3 года назад
3 года назад
8 лет назад
8 лет назад