помогите пожалуйста это уравнения
Приложения:

cosmosgirlhlamour05:
там то что красным на это не обращайте внимание
Ответы
Ответ дал:
1
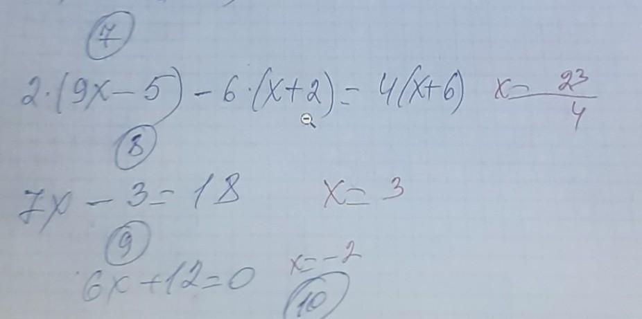
7.
2(9x – 5) – 6(x + 2) = 4(x + 6)
18x – 10 – 6x – 12 = 4x + 24
18x – 6x – 4x = 24 + 10 + 12
8x = 46
x = 46 / 8 = 23 / 4
8.
7x – 3 = 18
7x = 18 + 3
7x = 21
x = 21 / 7 = 3
9.
6x + 12 = 0
6x = –12
x = –12 / 6 = –2
Вас заинтересует
2 года назад
3 года назад
3 года назад
8 лет назад
9 лет назад