Очень нужна ваша помощь, прямо сейчас, очень выручите
Приложения:

Simba2017:
5)y`=-2x+4=0;x=2
Ответы
Ответ дал:
1
Теперь найдем все подходящие корни.
Ответ:
Наша функция - парабола с ветвями направленными вниз, значит ее максимальное значение достигнется в ее вершине (если она попадает в наш промежуток на x, значит она нам подойдет)
Ответ: 5
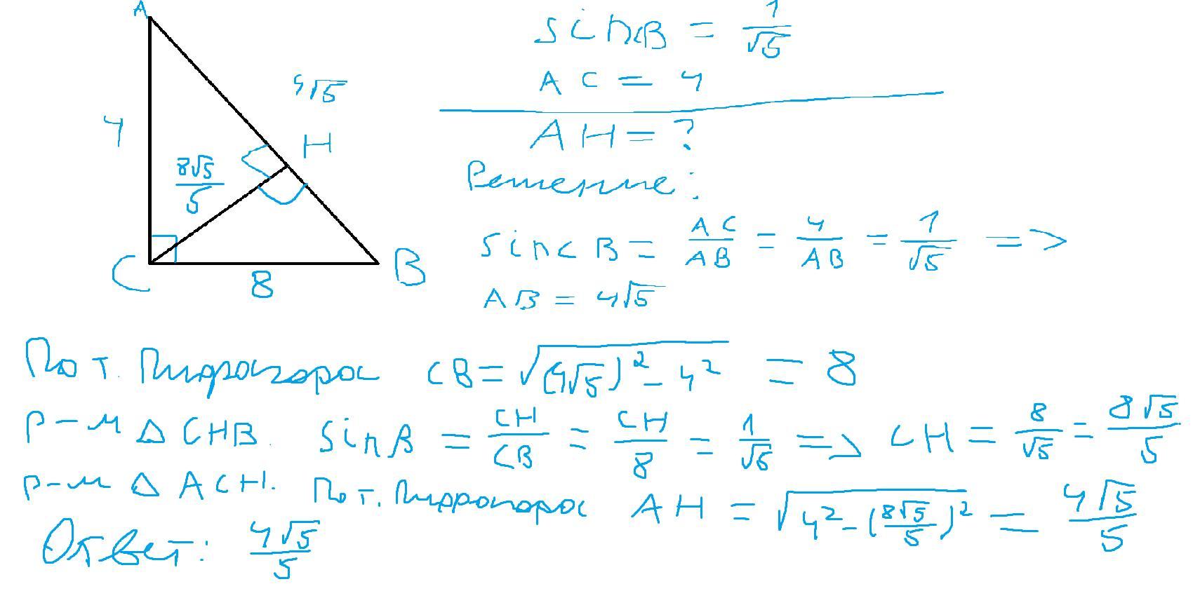
Задачу 6 прикрепил.
Приложения:

Вас заинтересует
2 года назад
3 года назад
8 лет назад
9 лет назад