Ответы
Ответ дал:
0
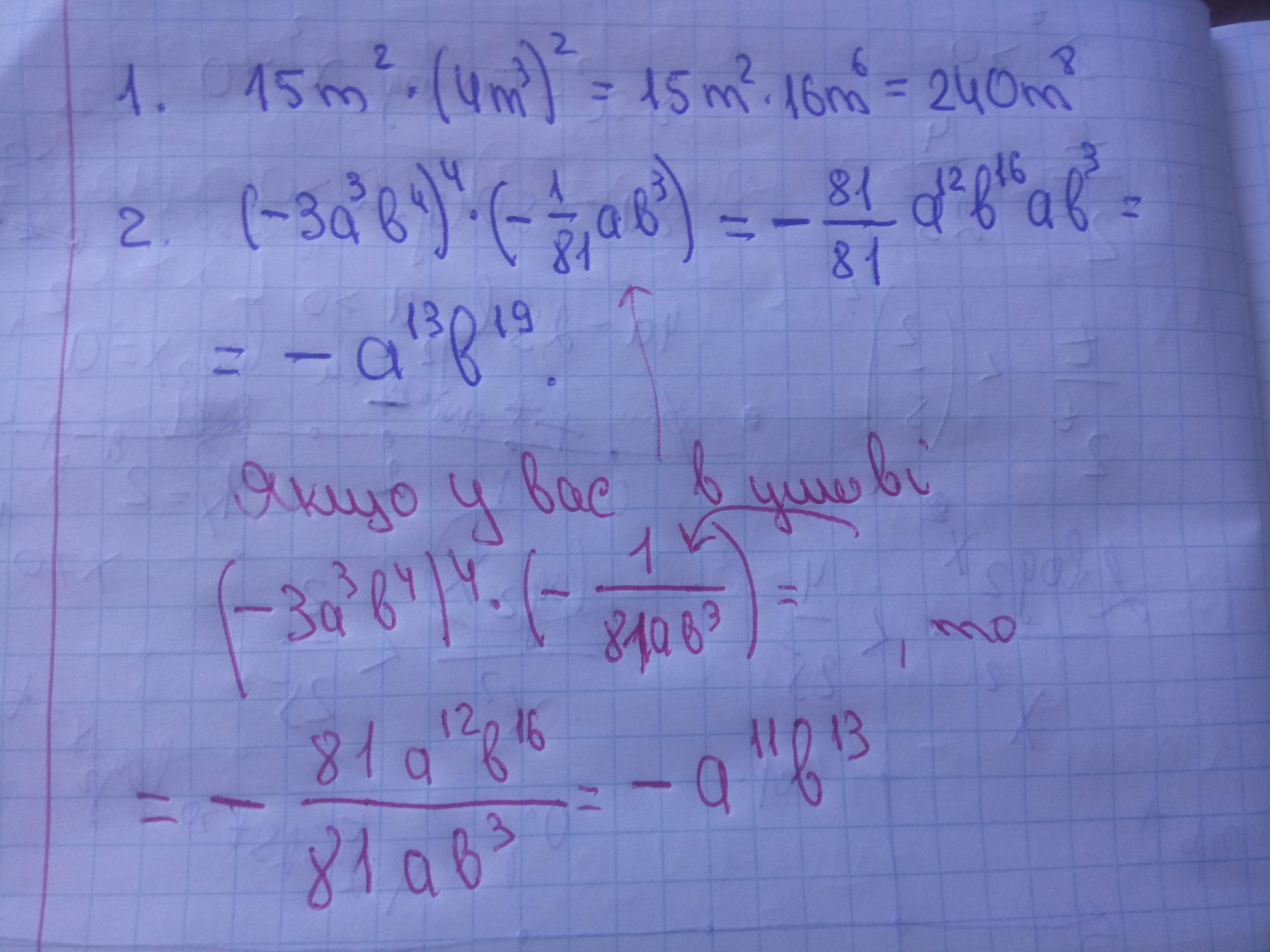
Розв'язання завдання додаю. 2) подивiться, що в умовi. Те i оберiть.
Приложения:

Ответ дал:
3
Ответ:
1)15m^2*(4m^3)^2=15m^2*16m^6=240m^8
2)(-3a^3b^4)^4*(-1/81ab^3)=81a^12b^16*(-1/81ab^3)=-a^13b^19
Объяснение:
Вас заинтересует
2 года назад
2 года назад
3 года назад
3 года назад
8 лет назад
9 лет назад