• Предмет: Алгебра
  • Автор: sjsjdj76
  • Вопрос задан 8 лет назад

решите пожалуйста, вроде не сложно

Приложения:

Ответы

Ответ дал: kamilmatematik100504
1

Ответ:  \\\\\\\\\\\\\\\\\\\\\\\\\\\\\\\\\\\\\\\\\\\\\\\\\\\\\\\la\la\la\la\ddddddddddddddddddddddddddddddddcleverdddddd\ffffffffffffffffffffffffffffffffffffffff\pppppppppppppppppppppppppppppppppppp\dddddd \displaystyle \Large \boldsymbol{ 0}

Объяснение:

  • \large \boldsymbol{a-b=(\sqrt{a}-\sqrt{b}  )(\sqrt{a}+\sqrt{b}  )} \\\\ \boldsymbol

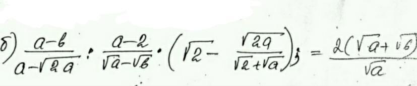
b)  \ \ \displaystyle \large \boldsymbol{} \frac{a-b}{a-\sqrt{2a} } \cdot \frac{a-2}{\sqrt{a}-\sqrt{b}  } \cdot \bigg(\sqrt{2}- \frac{\sqrt{2a} }{\sqrt{a}+\sqrt{2} } \bigg)=\frac{2(\sqrt{a}+\sqrt{b}  )}{\sqrt{a} } \\\\\\

\displaystyle \large \boldsymbol{} \frac{(\sqrt{a}+\sqrt{b}  )(\sqrt{a}-\sqrt{b}  )\!\!\!\!\!\!\!\!\!\!\!\!\bigg/}{\sqrt{a}(\sqrt{a}  -\sqrt{2})\!\!\!\!\!\!\!\!\!\!\!\!\!\bigg/ } \ \  \cdot \ \  \frac{(\sqrt{a} +\sqrt{2} )(\sqrt{a}  -\sqrt{2})\!\!\!\!\!\!\!\!\!\!\!\!\bigg/ }{\sqrt{a}-\sqrt{b} \!\!\!\!\!\!\!\!\!\!\!\!\bigg/ } \  \ \cdot  \ \ \bigg(\frac{\sqrt{2a}\!\!\!\!\!\!\diagup -\sqrt{2a}\!\!\!\!\!\!\diagup+2  }{\sqrt{a} +\sqrt{2} } \bigg)=\frac{2(\sqrt{a}+\sqrt{b}  )}{\sqrt{a} }

\displaystyle \large \boldsymbol{}\boxed{\frac{\sqrt{a}+\sqrt{b}  }{\sqrt{a} }}  \ \cdot (\sqrt{a} +\sqrt{2} )\!\!\!\!\!\!\!\!\!\!\!\!\bigg/  \ \  \ \cdot  \ \frac{2}{(\sqrt{a} +\sqrt{2} )\!\!\!\!\!\!\!\!\!\!\!\!\bigg/} =2\cdot \boxed{\frac{\sqrt{a}+\sqrt{b}  }{\sqrt{a} }} \\\\\ 2=2 \\\\2-2=\boxed{0}

Приложения:
Вас заинтересует