Ответы
Ответ дал:
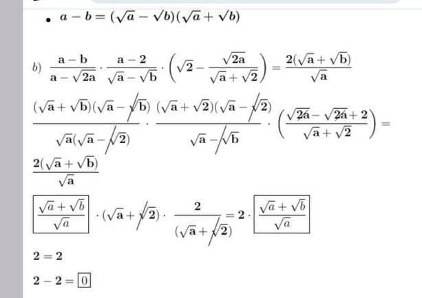
2
Ответ:
Объяснение:
Приложения:

sjdjd90:
спасибо большое!
Вас заинтересует
2 года назад
2 года назад
3 года назад
3 года назад
9 лет назад
9 лет назад