Ответы
Ответ дал:
1
Ответ:
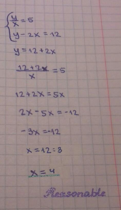
х=4
Пошаговое объяснение:
выразим у из первого уравнения: у= 5х; выразим у из второго уравнения: у= 2х+12; Приравниваем полученные выражения: 5х = 2х +12 и решаем⇒ 5х - 2х = 12⇒ 3х = 12⇒ х = 12 :3⇒ х=4
Ответ дал:
6
Решение и ответ на фотографии
Приложения:

sailcar100:
2х - 5х = - 12; -3х = -12; х = 4
Вас заинтересует
2 года назад
3 года назад
3 года назад
8 лет назад
8 лет назад
9 лет назад
9 лет назад