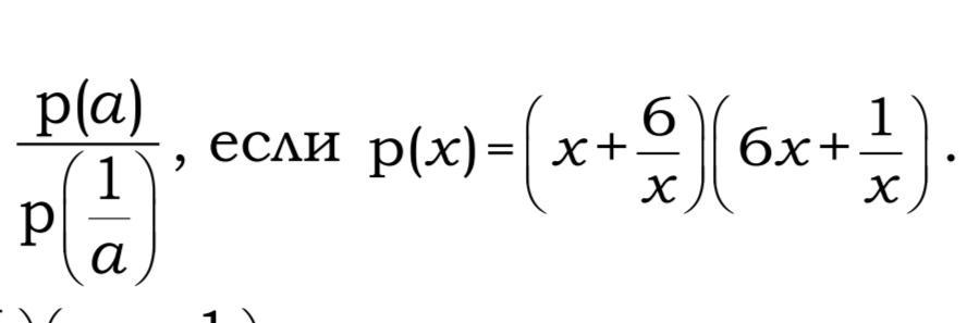
Упростите это , пожалуйста. Я не понимаю как написать с p(1:a) . Подробнее объяснение
Приложения:

Аноним:
Зачем мне отвечать, когда чел по типу VPutinV может в любой момент удалить мой ответ (и аккаут) и ему за это ничего не будет?
Ответы
Ответ дал:
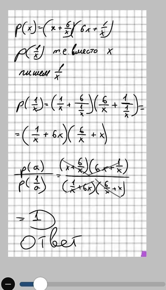
1
Ответ:
решение во вложении
вот только вместо х запиши а
Я забыл поменять
Приложения:

Вас заинтересует
2 года назад
2 года назад
3 года назад
3 года назад
8 лет назад