Ответы
Ответ дал:
0
Ответ:
четыре решения x=1 или x=-3 или x=-7+sqrt(61) или x=-7-sqrt(61)
Объяснение:
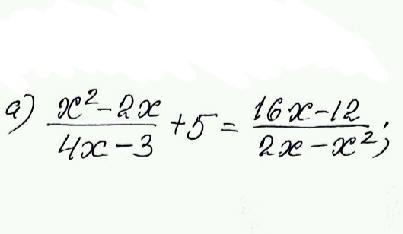
обозначим t=(x^2-2x)/(4x-3)
Перепишем уравнение: t+5=-4/t
t^2+5t+4=0
по теореме Виета t=-1 или t=-4
рассмотрим t=-1 (x^2-2x)/(4x-3)=-1
x^2-2x=3-4x
x^2+2x+1=4 (x+1)^2=2^2 x=1 или x=-3
рассмотрим t=-1 (x^2-2x)/(4x-3)=-4
x^2-2x=12-16x
x^2+14x=12
(x+7)^2=61 x=-7+sqrt(61) или x=-7-sqrt(61)
shsdbdhhdh:
а если я ещё не была в 9 классе? как мне по-другому решить..?
Ответ дал:
1
Решение задания прилагаю
Приложения:

Вас заинтересует
2 года назад
3 года назад
8 лет назад
8 лет назад
9 лет назад