• Предмет: Математика
  • Автор: Аноним
  • Вопрос задан 8 лет назад

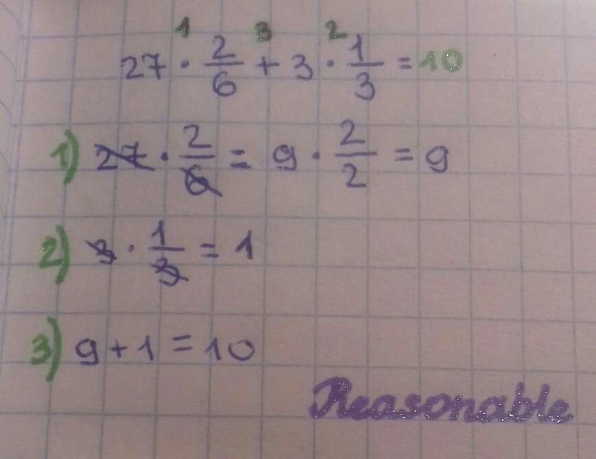
решите пример "27×2/6+3×1/3"​, с решением! ​

Ответы

Ответ дал: legosamodelkintv
1

Ответ:

10

Пошаговое объяснение:

27×2/6+3×1/3=54/6+3/3=9+1=10

Ответ дал: Applegate
3

Решение и ответ на фотографии

Приложения:
Вас заинтересует