• Предмет: Математика
  • Автор: nomerp359
  • Вопрос задан 8 лет назад

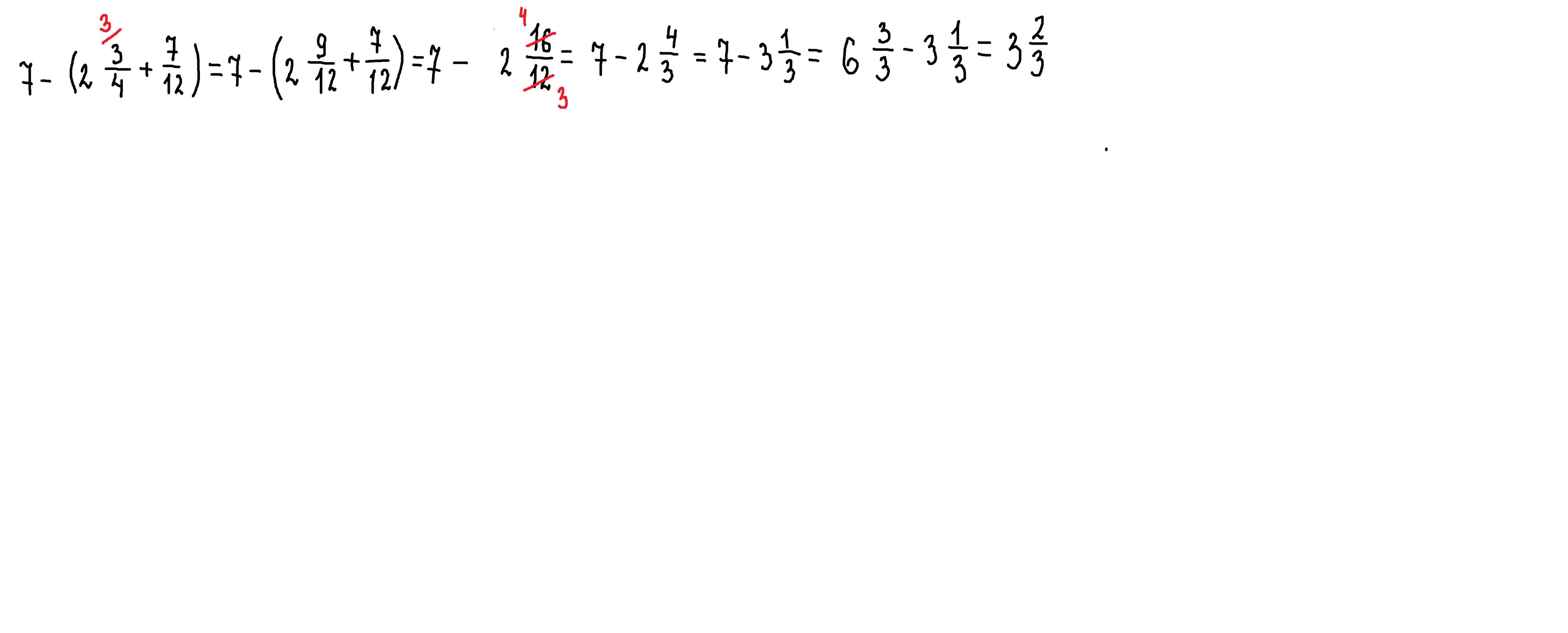
5)7-(2 3/4+7/12)
Помогите пожалуйста срочно, и можно пожалуйста всё подробно на листочки если можно ☺️

Ответы

Ответ дал: amanda2sempl
1

Ответ: (выполняем по действиям)

PS. \frac{10}{3} = \frac{9 + 1}{3}  = 3 + \frac{1}{3} = 3\frac{1}{3}

Приложения:
Ответ дал: parus77
1

Ответ:

Пошаговое объяснение:

Приложения:
Вас заинтересует