• Предмет: Алгебра
  • Автор: antonovm
  • Вопрос задан 8 лет назад

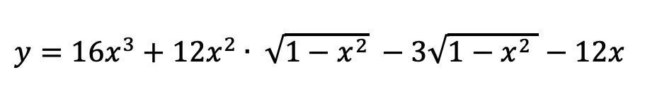
Найдите наибольшее значение функции :

Приложения:

Ответы

Ответ дал: Матов
3

 

Можно переформулировать задачу,  если заменить

x=sina

Тогда подставив , функция принимает вид

y=sina*(16*sin^2a-12)+(12*sin^2a-3)*cosa = 16sin^3a-12sina+9cosa-12cos^3a = -(4sin(3a)+3cos(3a))

 Тогда по неравенству Коши-Буняковского

(4sin(3a)+3cos(3a)) <=  V((4^2+3^2)*(cos^2(3a)+sin^2(3a))  = 5

То есть y=5


antonovm: 1) Если вы делаете замену надо указать как изменяется новая переменная , вы же заменяете косинус на корень со знаком + , то есть считаете его положительным , значит а не может принимать все значения
antonovm: 2) в конце решения у вас оценка , оценка верная , но должно быть равенство , то есть надо указать х , при котором она достигается
yugolovin: Просто написать, что a=arcsin x
antonovm: Да или указать , что а входит в отрезок [ -pi/2 ; pi/2] , тогда не надо будет везде писать + - как пришлось сделать автору второго решения
Ответ дал: Alexandr130398
1

Ответ:

5

Объяснение:

Ограничения:

1-х²≥0 ⇔ х²≤1 ⇔ |x|≤1 ⇔ x ∈ [-1;1]

Исходя из такого ограничения, можно сделать замену

x=sint, так как -1≤sint≤1

y(t)=16sin^3t+12sin^2t*\sqrt{1-sin^2t}-3\sqrt{1-sin^2t}-12sint=\\ \\ =16sint*sin^2t+12sin^2t*\sqrt{cos^2t} -3\sqrt{cos^2t}-12sint = \\ \\= 16sint(1-cos^2t)\pm 12sin^2t*cost\mp3cost-12sint= \\ \\ =16sint(1-0.5(1+cos2t))\pm 6(1-cos2t)cost \mp 3cost -12sint=\\ \\ =16sint-8sint(1+cos2t) \pm 6cost\mp 6cos2t*cost \mp 3cost-12sint= \\ \\

=16sint-8sint-8sint *cos2t \pm 6cost \mp 6cos2t*cost \mp 3cost -12sint =\\ \\  =  16sint-8sint-4(sin(-t)+sin3t) \pm 6cost \mp 3(cost+cos3t) \mp \\ \\ \mp 3cost-12sint= 16sint-8sint+4sint-4sin3t \pm 6cost \mp3cost \mp\\ \\ \mp 3cos3t\mp  3cost-12sint=-4sin3t \mp  3cos3t=\pm \sqrt{ 3^2+4^2}*sin(3t+\gamma)=\\ \\ =\pm 5sin(3t+ \gamma)

y=±5sin(3t+γ)

Так как -1≤sin(3t+γ)≤1, то

-5≤±5sin(3t+γ)≤5

Вас заинтересует