• Предмет: Математика
  • Автор: valcherho162
  • Вопрос задан 8 лет назад

лёгкие примеры,даю 20 балов,не просто ответы ,с решением!​

Приложения:

Ответы

Ответ дал: Orangesss
3

Ответ и пошаговое объяснение:

6)\ \dfrac{7^{15}:7^{12}}{7^2}=\dfrac{7^{15-12}}{7^2}=\dfrac{7^3}{7^2} = 7^{3-2}=7^1=7.\\\\7)\ \dfrac{0,2^{14}*0,2^9}{0,2^{15}*0,2^6}=\dfrac{0,2^{14+9}}{0,2^{15+6}}=\dfrac{0,2^{23}}{0,2^{21}} =0,2^{23-21}=0,2^2=0,04.\\\\8)\ 3^2*81=3^2*3^4=3^{2+4}=3^6=729.\\\\9)\ 256:2^5*2^2=2^8:2^5*2^2=2^{8-5+2}=2^5=32.

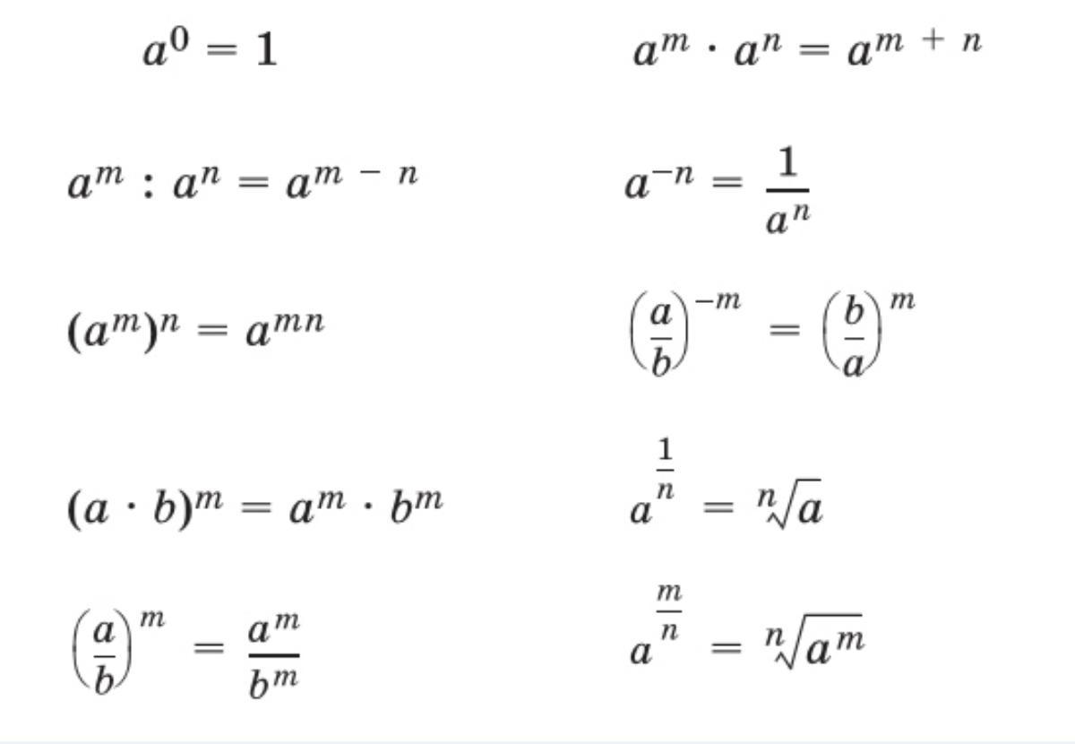
*На фотографии смотрите свойства степеней.

Приложения:
Ответ дал: ludmilaksenija2005
1

Пошаговое объяснение:

Решение на фото ____________

Приложения:
Вас заинтересует