• Предмет: Алгебра
  • Автор: sheet
  • Вопрос задан 10 лет назад

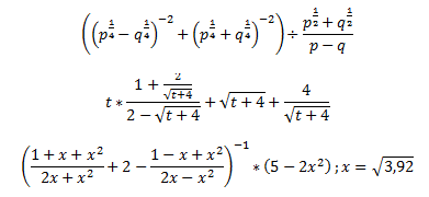
Корни, степени. Очень нужна помощь в кратчайшие сроки

Приложения:

Ответы

Ответ дал: rskopov
0
                           Решение:

Смотри вложение:...
Приложения:
Вас заинтересует