• Предмет: Алгебра
  • Автор: prostosmotruvidosy62
  • Вопрос задан 8 лет назад

пж,СРОООЧНО помогите:(((
очень очень нужна помощь


буду благодарна

Приложения:

Ответы

Ответ дал: danilort
1

Ответ:

восьмое задание

Объяснение:

как то так

Приложения:
Ответ дал: zinaidazina
1

6.

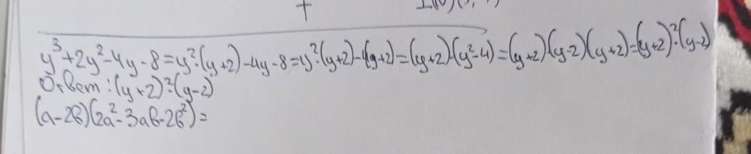
(a-2b)(2a^2-3ab-2b^2)=

=2a^3-3a^2b-2ab^2-4a^2b+6ab^2+4b^3=

=2a^3-7a^2b+4ab^2+4b^3

Ответ под цифрой 2)  2a^3-7a^2b+4ab^2+4b^3

7.

24c^7d^5-18c^6d^6=6c^cd^5(4c-3d)=-6c^cd^5(-4c+3d)=-6c^cd^5(3d-4c)

24c^7d^5-18c^6d^6=-6c^cd^5*(3d-4c)

(24c^7d^5-18c^6d^6):(-6c^cd^5)=3d-4c)

A=-6c^cd^5

Ответ под цифрой 3)   -6c^cd^5

8.

y^{3} +2y^{2} -4y-8=

=(y^{3} +2y^{2}) -(4y+8)=

=y^2(y+2) -4(y+2)=

=(y+2) (y^2-4)=

=(y+2) (y-2)(y+2)=

=(y+2)^2(y-2)

Ответ под цифрой 1)   (y+2)^2(y-2)

Вас заинтересует