• Предмет: Алгебра
  • Автор: gulbahor213
  • Вопрос задан 8 лет назад

Помогите пожалуйста!!!!!!!!!!!!​

Приложения:

Ответы

Ответ дал: tamarabernukho
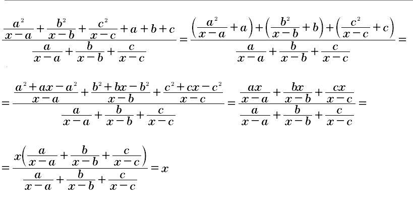
2

Ответ:

х

Объяснение:

...............................................................

Приложения:
Вас заинтересует