• Предмет: Алгебра
  • Автор: sanoka2020
  • Вопрос задан 8 лет назад

срочно помогите!!!!‼️‼️‼️‼️

Приложения:

Ответы

Ответ дал: danilort
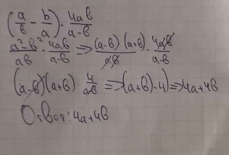
1

Ответ:

как то так..... 4 пример

Приложения:
Ответ дал: dobra888
1

Ответ:

Объяснение:

1)  ( x + x/y ) : ( x - x/y ) = ( xy + x )/y : ( xy - x )/y = [x( y + 1 )/y ]*y/x( y - 1 ) =

= ( y + 1 )/( y - 1 ) ;

2)  [ a/b + ( a + b )/( a - b) ] * ab²/( a² + b²) = [a( a - b) + b(a + b)]/b( a - b ) *

* ab²/( a² + b²) = ( a²- ab + ab + b² )/b( a - b ) *  ab²/( a² + b²) =

= [ ( a² + b²)ab²] /[ b( a - b )( a² + b²) ] = ab/( a - b ) ;

3)  ( m/( m - 1 ) - 1 ) : m/( mn - n ) = ( m - m + 1 )/ ( m - 1 ) : m/n( m - 1 ) =

   = 1/( m - 1 ) * n( m - 1 )/m = n/m .

Вас заинтересует