• Предмет: Математика
  • Автор: Olyabakulina86
  • Вопрос задан 8 лет назад

Запишите уравнение плоскости, проходящей через точку M0(−3,5,−1) параллельно векторам: e1¯¯¯¯¯={1,−5,−8} e2¯¯¯¯¯={0,1,9} Уравнение плоскости запишите в виде Ax+By+z+D=0. В ответ через точку с запятой введите значения: A;B;D

Ответы

Ответ дал: dnepr1
0

Для заданных условий уравнение плоскости определяется как смешанное произведение векторов.

x + 3     y - 5      z + 1|     x + 3      y - 5

  1           -5         -8|          1           -5

  0          1            9|         0            1   =

= -45(x + 3) +0(y - 5) + 1(z + 1) - 9(y - 5) + 8(x + 3) - 0(z + 1) =

= -45x - 135 + z + 1 - 9y + 45 + 8x + 24 =

= -37x - 9y + z - 65 = 0.

Это и есть уравнение заданной плоскости.

Ответ дал: amanda2sempl
0

Ответ: -37; -9; -65

Пошаговое объяснение:

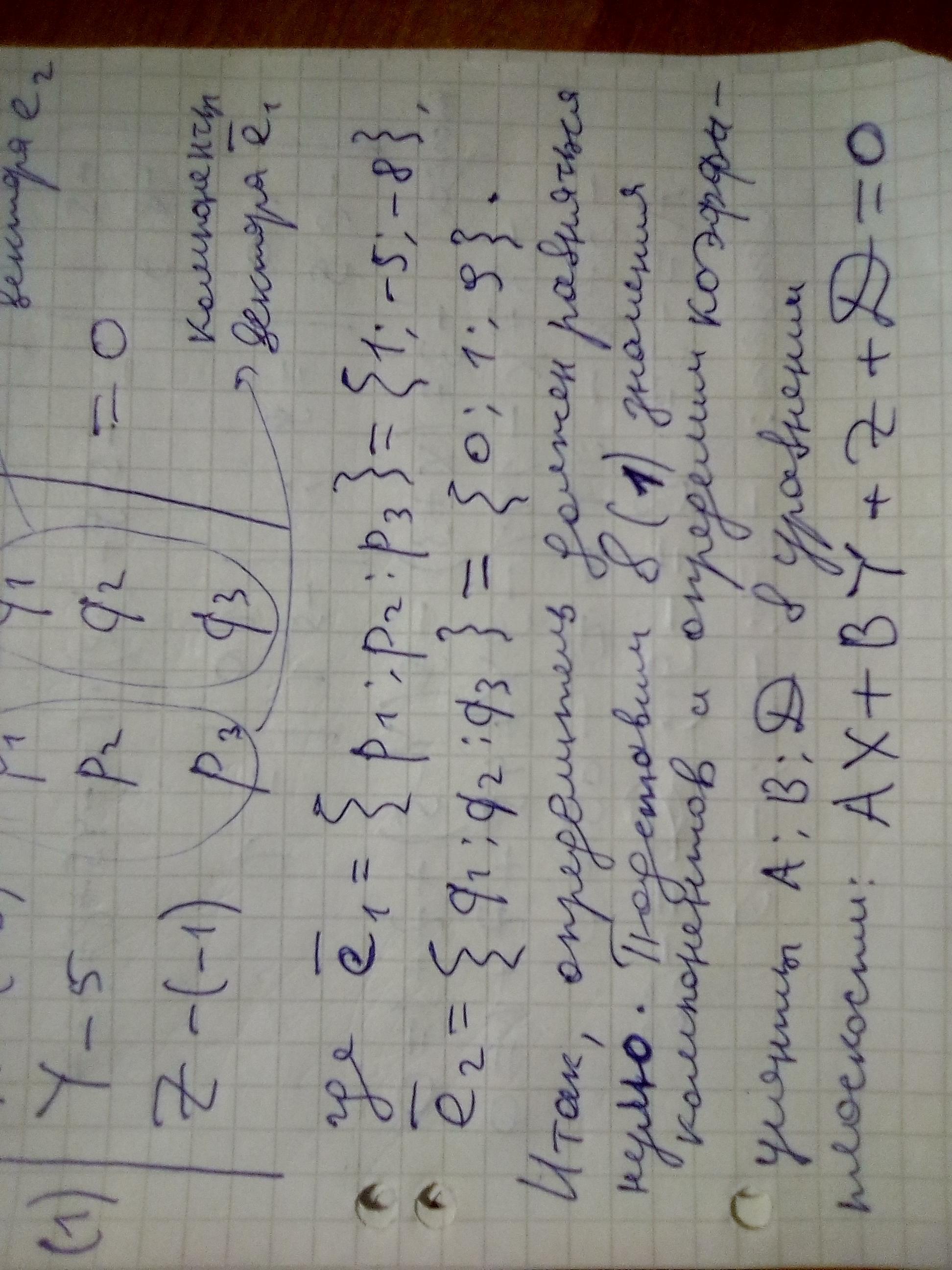
Снимки прилагаются

Приложения:
Вас заинтересует