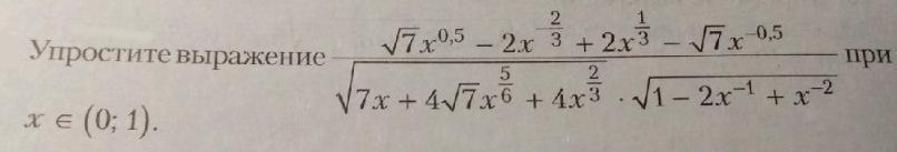
Алгебра 10 класс степень с действительным показателем, подробности на фото! 25 баллов!
Приложения:

Ответы
Ответ дал:
1
Ответ: -1
Объяснение:
krispootomato:
Пожалуйста, можно подробнее?
Вас заинтересует
2 года назад
3 года назад
8 лет назад
9 лет назад
9 лет назад