Ответы
Ответ дал:
0
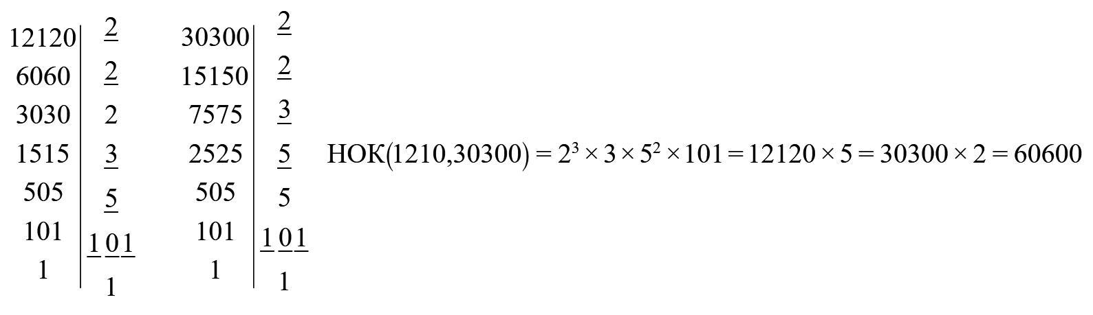
Ответ:
60600
Пошаговое объяснение:
///.............
Приложения:

Kamal538:
Спасибо
105
231
165
385
Ответ дал:
0
Ответ:
Пошаговое объяснение:
Решение дано на фото.
Приложения:

Вас заинтересует
2 года назад
2 года назад
3 года назад
3 года назад
8 лет назад
8 лет назад
9 лет назад