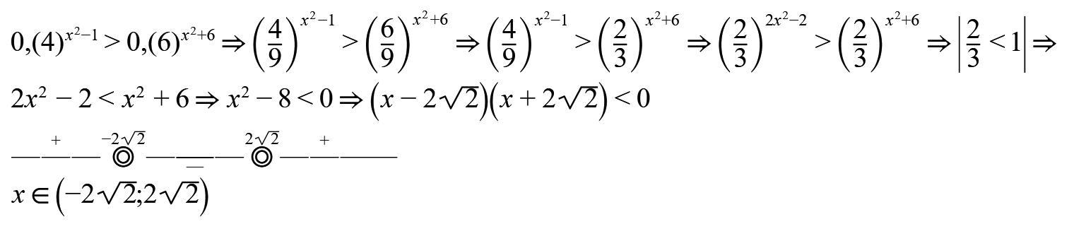
Здравствуйте, может кто-нибудь помочь подробно с объяснениями решить данную задачу по математике: (0,(4))^(x^2 - 1) > (0,(6))^(x^2 + 6)?
Ответы
Ответ дал:
4
Ответ:
Пошаговое объяснение:
надо знать как переводить периодическую дробь в простую
Приложения:

Ответ дал:
6
Ответ:
Пошаговое объяснение:
Решение дано на фото.
Приложения:

Вас заинтересует
2 года назад
2 года назад
3 года назад
8 лет назад
8 лет назад