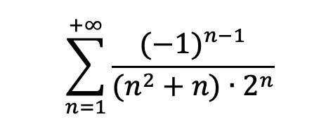
Найдите сумму ряда :
Приложения:

igorShap:
Тут также предусмотрено школьное решение? Потому что, например, его можно свести к известному разложению в ряд Тейлора, но хочется найти более простое, если оно существует
Ответы
Ответ дал:
1
Ответ:
Объяснение:
, а значит, по радикальному признаку Коши, исходный ряд сходится абсолютно.
Используя известное разложение
, получим
___________________________
Переход [*] справедлив, так как , то есть, по радикальному признаку Коши, каждый из рядов-слагаемых сходится абсолютно
Ответ дал:
1
Используем ряд Маклорена натурального логарифма
Проинтегрируем обе части равенства
Следовательно, , разделив на х
При x = 1/2 получаем
Вас заинтересует
2 года назад
3 года назад
3 года назад
8 лет назад
9 лет назад