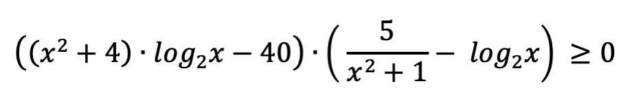
Решите неравенство :
Приложения:

Аноним:
log2_x = t, x^2 = 2^2t ?
Ответы
Ответ дал:
0
ОДЗ: x>0. Разберемся с первой скобкой. При она отрицательна, при x>1 возрастает, пройдя через ноль при x=4. Запомним: первая скобка слева от 4 отрицательна, справа положительна.
Вторая скобка является суммой убывающих функций (не забываем, что по ОДЗ x>0) и
и поэтому сама является убывающей функцией. Момент прохождения через ноль легко находится: x=2. Тем самым вторая скобка слева от 2 положительна, а справа отрицательна.
Нам нужно узнать, когда произведение скобок положительно, иными словами, когда они одного знака. Положительными они одновременно быть не могут, а одновременно отрицательными они являются на интервале (2;4). Добавляем нули скобок и получаем ответ.
Ответ: [2;4].
Вас заинтересует
2 года назад
3 года назад
3 года назад
8 лет назад
8 лет назад