• Предмет: Алгебра
  • Автор: Аноним
  • Вопрос задан 8 лет назад

упросить уравнение.
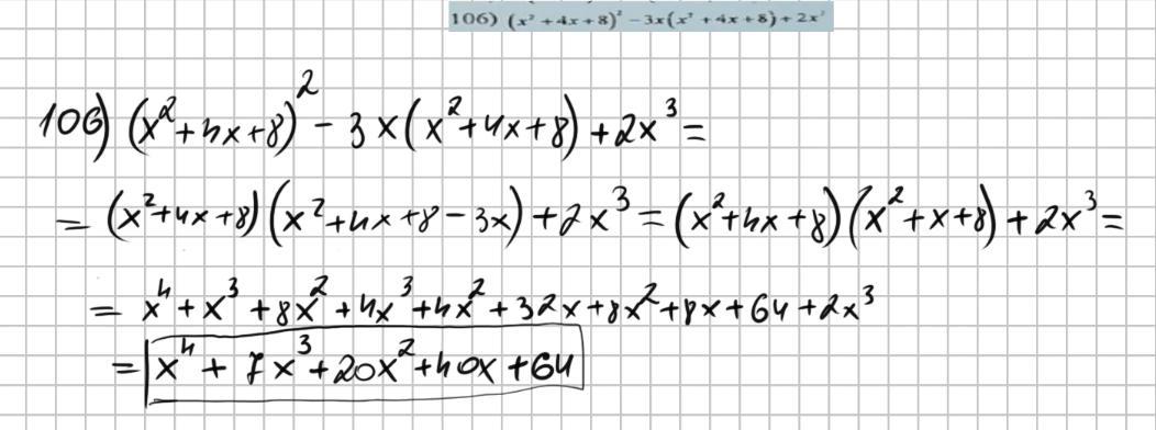
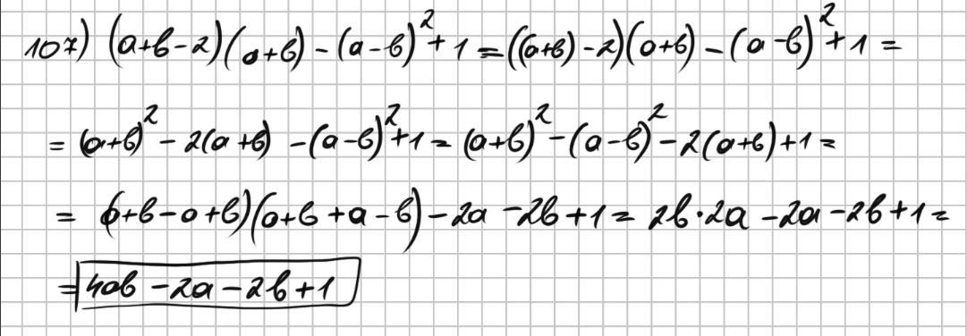
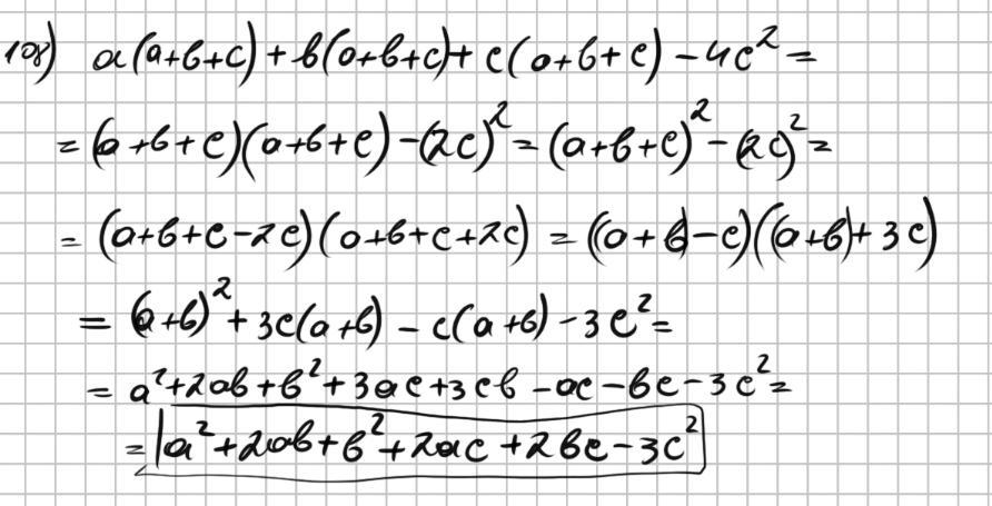
106-108

Приложения:

vanoua17: файл ппт?) ну спасибо
Аноним: :/
nematovsardorbek12: простите я не могла открыть файл
Applegate: "Невозможно открыть файл"
Аноним: перепишу уравнение
nematovsardorbek12: ок

Ответы

Ответ дал: Ilyazov45
1

----------------------------------------------

Приложения:

Аноним: спасибо!
Вас заинтересует