• Предмет: Алгебра
  • Автор: Аноним
  • Вопрос задан 8 лет назад


(x {}^{2} + y {}^{2} )(x - y) = 447 \\ xy(x - y) = 210
Вот система уравнений, попробуйте решить:) ​

Ответы

Ответ дал: MatemaT123
1

Ответ:

(10 \ ; \ 7) \ ; \ (-7 \ ; \ -10) \ ;

Объяснение:

D(x,y): \ x \neq y, \ x \neq 0, \ y \neq 0 \ ;

\displaystyle \left \{ {{(x^{2}+y^{2})(x-y)=447} \atop {xy(x-y)=210}} \right. \ ;

Разделим верхнее уравнение на нижнее:

\dfrac{(x^{2}+y^{2})(x-y)}{xy(x-y)}=\dfrac{447}{210} \ ;

\dfrac{x^{2}+y^{2}}{xy}=\dfrac{149}{70} \ ;

\dfrac{x^{2}}{xy}+\dfrac{y^{2}}{xy}=\dfrac{149}{70} \ ;

\dfrac{x}{y}+\dfrac{y}{x}=\dfrac{149}{70} \ ;

Введём замену:

t=\dfrac{x}{y} \Rightarrow \dfrac{y}{x}=\dfrac{1}{t} \ ;

Перепишем уравнение с учётом замены:

t+\dfrac{1}{t}=\dfrac{149}{70} \quad \bigg |  \quad \cdot 70t

70t^{2}+70=149t;

70t^{2}-149t+70=0;

D=b^{2}-4ac \Rightarrow D=(-149)^{2}-4 \cdot 70 \cdot 70=149^{2}-4 \cdot 4900=(150-1)^{2}-4 \cdot

\cdot (5000-100)=22500-300+1-20000+400=2500+100+1=2601;

t_{1}=\dfrac{-b+\sqrt{D}}{2a} \Rightarrow t_{1}=\dfrac{-(-149)+\sqrt{2601}}{2 \cdot 70}=\dfrac{149+51}{140}=\dfrac{200}{140}=\dfrac{10}{7} \ ;

t_{2}=\dfrac{-b-\sqrt{D}}{2a} \Rightarrow t_{2}=\dfrac{-(-149)-\sqrt{2601}}{2 \cdot 70}=\dfrac{149-51}{140}=\dfrac{98}{140}=\dfrac{7}{10} \ ;

Вернёмся к замене:

\dfrac{x}{y}=\dfrac{10}{7} \quad \vee \quad \dfrac{x}{y}=\dfrac{7}{10} \ ;

x=\dfrac{10}{7}y \quad \vee \quad x=\dfrac{7}{10}y \ ;

Вернёмся к системе:

\displaystyle \left \{ {{x=\dfrac{10}{7}y} \atop {\dfrac{10}{7}y^{2} \bigg (\dfrac{10}{7}y-y \bigg )=210}} \right. \vee \left \{ {{x=\dfrac{7}{10}y} \atop {\dfrac{7}{10}y^{2} \bigg (\dfrac{7}{10}y-y \bigg )=210}} \right. \Leftrightarrow \left \{ {{x=\dfrac{10}{7}y} \atop {\dfrac{10}{7}y^{2} \cdot \dfrac{3}{7}y=210}} \right. \vee

\displaystyle \vee \left \{ {{x=\dfrac{7}{10}y} \atop {-\dfrac{7}{10}y^{2} \cdot \dfrac{3}{10}y=210}} \right. \Leftrightarrow \left \{ {{x=\dfrac{10}{7}y} \atop {\dfrac{30}{49}y^{3}=210}} \right. \vee \left \{ {{x=\dfrac{7}{10}y} \atop {-\dfrac{21}{100}y^{3}=210}} \right. \Leftrightarrow

\displaystyle \Leftrightarrow \left \{ {{x=\dfrac{10}{7}y} \atop {y^{3}=7 \cdot 49}} \right. \vee \left \{ {{x=\dfrac{7}{10}y} \atop {y^{3}=-1000}} \right. \Leftrightarrow \left \{ {{x=\dfrac{10}{7}y} \atop {y^{3}=7^{3}}} \right. \vee \left \{ {{x=\dfrac{7}{10}y} \atop {y^{3}=(-10)^{3}}} \right. \Leftrightarrow

\displaystyle \Leftrightarrow \left \{ {{x=\dfrac{10}{7}y} \atop {y=7}} \right. \vee \left \{ {{x=\dfrac{7}{10}y} \atop {y=-10}} \right. \Leftrightarrow \left \{ {{x=10} \atop {y=7}} \right. \vee \left \{ {{x=-7} \atop {y=-10}} \right. ;

V означает "или".

Оба корня удовлетворяют ОДЗ.


Аноним: у меня ещё есть задачка, поможешь?
kanmmu: Можно было чуть проще решить...
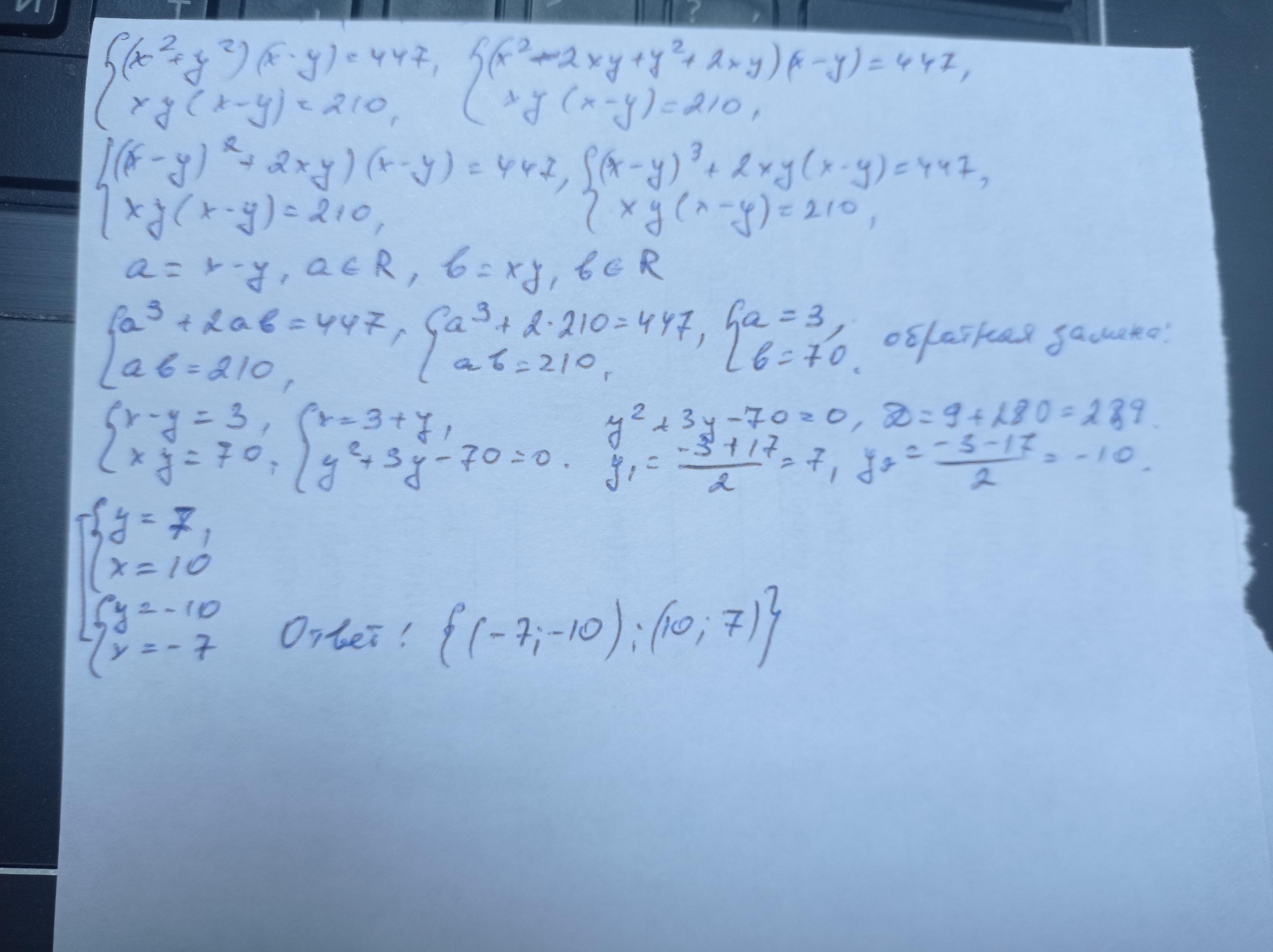
Ответ дал: kanmmu
1

Ответ:

Объяснение:

См. фото

Приложения:
Вас заинтересует